%YAML:1.0
# Camera Parameters. Adjust them!
# Camera calibration parameters camera back
Camera.Iw: 754
Camera.Ih: 480
# hyperparameters
Camera.nrpol: 5
Camera.nrinvpol: 12
# forward polynomial f(rho)
Camera.a0: -209.200757992065
Camera.a1: 0.0
Camera.a2: 0.00213741670953883
Camera.a3: -4.2203617319086e-06
Camera.a4: 1.77146086919594e-08
# backward polynomial rho(theta)
Camera.pol0: 293.667187375663
Camera.pol1: 149.982043337335
Camera.pol2: -10.448650568161
Camera.pol3: 28.2295300683376
Camera.pol4: 7.13365723186292
Camera.pol5: 0.056303218962532
Camera.pol6: 10.4144677485333
Camera.pol7: 0.166354960773665
Camera.pol8: -5.86858687381081
Camera.pol9: 1.18165998645705
Camera.pol10: 3.1108311354746
Camera.pol11: 0.810799620714366
# affine matrix
Camera.c: 0.999626131079017
Camera.d: -0.0034775192597376
Camera.e: 0.00385134991673147
# principal point
Camera.u0: 392.219508388648
Camera.v0: 243.494438476351
# create a mirror mask for fisheye cameras
Camera.mirrorMask: 1
以上是multicol-SLAM的相机内参,forward polynomial f(rho) 和backward polynomial rho(theta) 分别代表的物理意义是什么?以及仿射变换矩阵affine matrix在这里的作用是什么?
对于同样具有鱼眼相机的openvslam系统,其鱼眼相机的配置文件:
Camera.name: "TUM VI monocular"
Camera.setup: "monocular"
Camera.model: "fisheye"
Camera.fx: 190.97847715128717
Camera.fy: 190.9733070521226
Camera.cx: 254.93170605935475
Camera.cy: 256.8974428996504
Camera.k1: 0.0034823894022493434
Camera.k2: 0.0007150348452162257
Camera.k3: -0.0020532361418706202
Camera.k4: 0.00020293673591811182
Camera.fps: 20
Camera.cols: 512
Camera.rows: 512
Camera.color_order: "Gray"
参数就非常的简洁,且很明了,k1-k4代表相机的径向畸变参数(无切向畸变),那么对于multiCol-SLAM,他的参数我就不那么懂了,尤其是
Camera.a0: -209.200757992065
Camera.a1: 0.0
Camera.a2: 0.00213741670953883
Camera.a3: -4.2203617319086e-06
Camera.a4: 1.77146086919594e-08
Camera.pol0: 293.667187375663
Camera.pol1: 149.982043337335
Camera.pol2: -10.448650568161
Camera.pol3: 28.2295300683376
Camera.pol4: 7.13365723186292
Camera.pol5: 0.056303218962532
Camera.pol6: 10.4144677485333
Camera.pol7: 0.166354960773665
Camera.pol8: -5.86858687381081
Camera.pol9: 1.18165998645705
Camera.pol10: 3.1108311354746
Camera.pol11: 0.810799620714366
分别代表的是什么?希望得到大神的解答,不胜感激。
自己的理解
经过很久的论文阅读,对multiCol-SLAM的鱼眼相机模型由了一定的理解,记录下来以备查验,也希望有人能指正和指教。
-
标定工具 (google:Scaramuzza_OCamCalib_v3.0_win)
-
两篇重要的论文(https://download.csdn.net/download/ouyangandy/12545885)
-
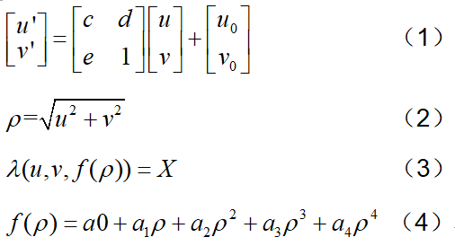
标定的各项参数的用处,不会使用md编辑公式,在word中编辑后插入这里:

-
对应上述公式的代码
void cam2world(double point3D[3], double point2D[2], struct ocam_model* myocam_model)
{
double *pol = myocam_model->pol;
double xc = myocam_model->xc;
double yc = myocam_model->yc;
double c = myocam_model->c;
double d = myocam_model->d;
double e = myocam_model->e;
int length_pol = myocam_model->length_invpol;
double invdet = 1 / (c - d*e);// 1/det(A), A = [c,d;e,1] 行列式的值
/*
[m.x [c d * [ut + [u0
m.y] = e 1] vt] v0] //其中ut,vt为sensor plane,m.x m.y为image plane
*/
double xp = invdet*((point2D[0] - xc) - d*(point2D[1] - yc)); //xp和yp 为sensor plane coordinate
double yp = invdet*(-e*(point2D[0] - xc) + c*(point2D[1] - yc));//
double r = sqrt(xp*xp + yp*yp); //ρ= √u^2+v^2
double zp = pol[0];
double r_i = 1;
//霍纳法则 : f(ρ)=a0 + a1*ρ + a2*ρ^2 + a3*ρ^3 + a4*ρ^4
for (int i = 1; i < length_pol; i++)
{
r_i *= r;
zp += r_i*pol[i];
}
double invnorm = 1 / sqrt(xp*xp + yp*yp + zp*zp);
point3D[0] = invnorm*xp;
point3D[1] = invnorm*yp;
point3D[2] = invnorm*zp;
};
也就是从point2D到point3D的mapping过程,也就是说,从鱼眼相机的image plane 转换到sensor plane,然后再转换到Normalized sphere,因此上面参数中的a0-a4也就是多项式(4)的参数。
反过来,对于一个三维点,对应到image plane上的点,也就有:
void world2cam(double point2D[2], double point3D[3], struct ocam_model* myocam_model)
{
double *invpol = myocam_model->inv_pol;
double xc = myocam_model->xc;
double yc = myocam_model->yc;
double c = myocam_model->c;
double d = myocam_model->d;
double e = myocam_model->e;
int width = myocam_model->width;
int height = myocam_model->height;
int length_invpol = myocam_model->length_invpol;
double norm = sqrt(point3D[0] * point3D[0] + point3D[1] * point3D[1]); // x^2+y^2
double theta = atan(point3D[2] / norm); //z/(x^2+y^2)
double t, t_i;
double rho, x, y;
double invnorm;
int i;
if (norm != 0)
{
invnorm = 1 / norm;
t = theta;
rho = invpol[0];
t_i = 1;
for (i = 1; i < length_invpol; i++)
{
t_i *= t;
rho += t_i*invpol[i];
}
x = point3D[0] * invnorm*rho;
y = point3D[1] * invnorm*rho;
point2D[0] = x*c + y*d + xc;
point2D[1] = x*e + y + yc;
}
else
{
point2D[0] = xc;
point2D[1] = yc;
}
};
最后
以上就是清爽咖啡最近收集整理的关于MultiCol-SLAM鱼眼相机的相机模型的全部内容,更多相关MultiCol-SLAM鱼眼相机内容请搜索靠谱客的其他文章。
本图文内容来源于网友提供,作为学习参考使用,或来自网络收集整理,版权属于原作者所有。
发表评论 取消回复