本文目的:
为了用于前碰撞预警,实时监测车辆与前方障碍物之间的距离。机器视觉测距具有价格低廉、信息量大的优点。
其中,分为双目视觉测距和单目视觉测距。双目视觉测距是基于三角测量的方法,模仿人类利用双目视觉差感知距离,但在处理过程中需要进行图像匹配,对硬件和算法要求高。单目视觉测距具有结构简单、成本低的优点,节省了图像匹配工作。
本文工作方法及内容:
该作者根据投影变换模型推导出单目测距算法,基于PreScan平台进行虚拟试验,分析图像传感器各参数对测距精度的影响,验证单目测距方法的有效性和准确度。
投影变换模型和车距测量方法介绍
根据小孔成像原理,假设摄像头在坐标G点,在水平地面的投影为O点,汽车前进方向为X轴方向,假设障碍物在(X1,Y1)点,则有如图所示数学模型:

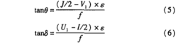
第二步在一个图像中,分辨率为I*J;障碍物在图中的(U1,V1);在图像中我们是知道障碍物的坐标(U1,V1)是多少的,而且很实际位置来说,有着这样的关系:

所以我们可以得到实际位置中的角度如下数学公式所示:

知道角度后,且我们有固定的摄像头的高度h,所以根据(1)(2)式我们可以得到障碍物相对于摄像头的位置X和Y,而且还可以求出来直线距离d:

- 最后一步:因为我们传感器的位置不在车头,所以直线距离还要减去车头,得到真实车距。
基于PreScan的虚拟试验平台搭建



其中含有摄像头焦距位置等信息,然后拍摄结果如图:分别是90m 75m 60m 45m 30m 15m 的图片

90m

75m

60m

45m

30m

15m
虚拟实验与误差分析
根据图像传感安装高度、采集图像分辨、镜头俯仰角的不同,共采集4组图像。分别为:
- 第一组实验:标准组:设定传感器高度为1.4m,镜头俯仰角为0°,图像分辨率为640X480;
- 第二组实验:将传感器高度改为1.35m;
- 第三组实验:图像分辨率改为1280X960;
- 第四组将镜头俯仰角改为2°,光轴和地面相交。
经过图片处理程序后,有以下结果:

结果分析:第1组实验中,60m以内测距相对误差数值均在3%以下,说明单目测距在近距离内具有较好的精度;随着距离的增加,相对误差明显增大。误差主要由分辨率造成,本文测距程序的功能是完成从某一像素到对应距离的转换,但是在图像传感器成像时,将连续的路面转换为离散的像素,每一段距离对应一个像素,所以计算距离对应的是一个距离区间,即障碍物出现在某一距离区间内,使用测距程序会得出相同的距离,距离区间的增加会导致误差的增加,因此提高传感器分辨率可以降低此项误差。
第二组实验相对误差有所增加,对比标准组,试验数据偏大,说明图像传感器高度降低使得计算车距值偏大。从理论模型分析,考虑式(l)可知,计算车距图像传感器安装高度成正比,实际安装高度偏小,按安装高度计算得出的车距偏大,与实际情况吻合。当距离增加后,两组数据差异减小,直至相同,说明远距离误差主要由分辨率导致。
第3组试验对比标准组,相对误差明显降低,大部分相对误差降低至标准组的一半以下。从理论分析可知,分辨率提高一倍(640像素×480像素提升至128像素×960像素),系统误差减小一半,与试验结果大致吻合,证明提高分辨率可以有效降低误差。
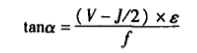
由于图像传感器俯仰角对测距精度影响较大,以第4组试验需要以车道线平行的约束条件来求解仰角。根据几何知识,三维空间两平行直线在二维
平面交于一点,即消隐点。当车辆在道路中央沿直线行驶且摄像头主光轴水平时(俯仰角为0°),消隐点应在图像正中央。图像传感器俯仰角校正如图5所示当俯仰角变化时,消隐点的位置会上下移动,移动幅度与镜头俯仰角正相关。利用此原理,首先通过Hough变换求解左右两侧车道线方程,得:
U1=1.22 x v1+6, u2=-1.22 x v2 +635
求解两条直线交点(消隐点)为(320.5,258),将消隐点坐标代入式(10):

得tana=0.0348,a=1.99°,与实际俯仰角2°接近。将俯仰角正切值代入式(7)可得出校正后的计算车距。编写校正程序并重新进行测距试验。测距结果表明,在校正良好的情况下,单目视觉测距有着较高的精度。
最后
以上就是温婉口红最近收集整理的关于基于PreScan平台的单目视觉测距方法研究与虚拟试验的全部内容,更多相关基于PreScan平台内容请搜索靠谱客的其他文章。
发表评论 取消回复