一阶低通滤波适用于较大惯性的系统,如水位,温度,低速电机等
这里先介绍一下一阶RC低通滤波器,因为一阶数字低通滤波器原理来自于这个
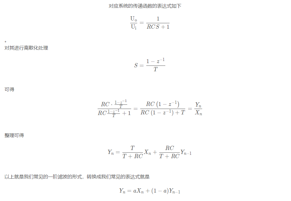
1.一阶硬件低通滤波器
原理:RC组成简单的一阶低通滤波电路

计算:电路的传递函数,因为是模拟电路所以传递函数是在时域上连续的,需要离散化才能转到数字化实现

最后的函数表达式就是 数字式的低通滤波器
实验:

绿色是原始信号,红色是滤波后的信号
2.一阶数字低通滤波器
原理:一阶数字低通滤波器和一阶硬件滤波器是功能一致的,把RC滤波的电路函数进行离散化后就得到数字滤波器的表达式原型,为什么使用数字滤波器,因为这个通过软件来实现,设计灵活性高,成本低
计算公式:Y=a*x+(1-a)*Y_last
Y是本次输出,x是本次输入,Y_last是上一次输出
a是滤波系数,1-a越大,惯性(滞后)越大,说明本次的输出和上一次的输出关系越大
实验:因为是数字滤波器,这里使用matlab实现验证
3.一阶数字滤波器代码实现
代码:
t=0:0.001:1;
y1=(pi/2)*cos(2*pi*t)+(pi/64)*cos(pi*t/8+pi/3);
temp=y1+0.2*rand(size(y1));
i=2
while i<1002
y(i)=0.8*temp(i)+0.2*y(i-1);
i=i+1;
end
plot(t,y1,t,temp,'b',t,y,'r')
实验数据:

滤波系数α=0.8,蓝色是输入的噪声信号,红色是滤波后的信号
可知噪声的幅度被衰减,相位略有滞后,但不明显
3.一阶低通滤波器应用限制
截止频率计算Fs=a/(2 π t),t是采样间隔时间
例如滤波系数a=0.1,t=1s即1秒采样1次 Fs=0.1/(2*3.1415*1)=0.016Hz
另外不能滤除高于二分之一采样频率的干扰信号,比如信号的采样频率为1Hz,对于0.5Hz以上的干扰信号软件滤波搞不定,这个要结合硬件RC低通滤波器来滤除
最后
以上就是甜美黑夜最近收集整理的关于一阶数字低通滤波器-C语言/matlab实现的全部内容,更多相关一阶数字低通滤波器-C语言/matlab实现内容请搜索靠谱客的其他文章。
发表评论 取消回复