目录
1、钟控RS触发器
2、钟控D触发器
3、钟控JK触发器
4、钟控T触发器
钟控T’触发器
在时序逻辑电路中,经常要求触发器的翻转时刻受时钟脉冲控制,而翻转到什么状态由输入以及现态决定。因此,我们引入了钟控触发器。
1、钟控RS触发器





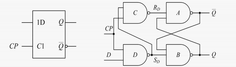
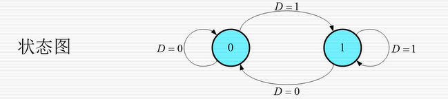
2、钟控D触发器



![]()

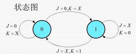
3、钟控JK触发器





4、钟控T触发器





钟控T’触发器

参考视频:
5_4钟控RS触发器+D触发器_哔哩哔哩_bilibili停课不停学,西安电子科技大学数电线上教学视频。对应的教材是西电出版社的《数字电子技术》。有帮助记得收藏关注哦!, 视频播放量 10185、弹幕量 31、点赞数 115、投硬币枚数 52、收藏人数 113、转发人数 32, 视频作者 歪铋钯铂, 作者简介 嗨,Bilibili,相关视频:5_3 触发器的功能描述,5_5钟控JK触发器+T触发器,5_2_基本RS触发器原理,0_1_前言,触发器--RS触发器、JK触发器、D触发器、T触发器,5_1_触发器概述,【老邱数电】触发器转换(RS JK D T T'),SR触发器及波形图画法,【老邱数电】基础RS触发器,触发器(一)
https://www.bilibili.com/video/BV1uf4y1273A?spm_id_from=333.337.search-card.all.click5_5钟控JK触发器+T触发器_哔哩哔哩_bilibili停课不停学,西安电子科技大学数电线上教学视频。对应的教材是西电出版社的《数字电子技术》。有帮助记得收藏关注哦!, 视频播放量 9965、弹幕量 23、点赞数 131、投硬币枚数 62、收藏人数 118、转发人数 26, 视频作者 歪铋钯铂, 作者简介 嗨,Bilibili,相关视频:5_4钟控RS触发器+D触发器,(最新版)数字电路|看两遍立刻通透,数电真的很容易!,5_2_基本RS触发器原理,触发器--RS触发器、JK触发器、D触发器、T触发器,5_1_触发器概述,主从JK触发器的一次变化问题,【老邱数电】触发器转换(RS JK D T T'),5_3 触发器的功能描述,JK触发器典型例题 -《数字电子技术》,触发器一JK触发器一数字电子考试
https://www.bilibili.com/video/BV1tf4y127xx/?spm_id_from=333.788.recommend_more_video.0&vd_source=0c1ade3a93fcb106c44279021f3cf693
最后
以上就是忧虑芝麻最近收集整理的关于钟控触发器(RS、D、JK、T)的全部内容,更多相关钟控触发器(RS、D、JK、T)内容请搜索靠谱客的其他文章。
发表评论 取消回复