我是靠谱客的博主 俭朴画板,这篇文章主要介绍一阶系统开环传递函数表达式_自控原理之系统辨识--入门介绍,现在分享给大家,希望可以做个参考。

写在最前:

你在调PID的时候,肯定也想过,有没有一些科学有用的方法,可以调出准确的PID参数,而不是花很多时间瞎调。

如果你想知道系统辨识能做什么,可以看我之前写过的文章,通过系统辨识出传递函数,来精准调节PID。

龙胆也老师:matlab系统辨识+调PID,全网最完整步骤(v-rep仿真)​zhuanlan.zhihu.com

系统辨识--入门
前言
数学模型是一个或多或少,以一定的形式表达出你正在观测的事物。通过观测事物的各项属性,推断出一个数学模型,这是科学。系统辨识,着手于从观测事物得到的数据中,建立一个数学模型。正由于物理系统在我们身边应用很广,所以系统辨识学科有一个很宽广的应用范围。

一、物理系统dynamic systems

9d629ea3db39b06c1a59fae1602d1635.png

上图,一个物理系统可以简化成一个黑箱,有四个相关的变量。u是输入信号;w是可测量的干扰两;v是不可测量的干扰信号;y是输出。

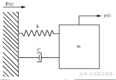
2ff9e7df8c5d3f8c1b052edd595e033a.png

上图,是最常见的二阶物理系统

二、模型model
1.模型的种类(三种)
· 心理模型:这种模型没有数学公式去描述。比如开车需要经验去判断踩多重的油门,会使车的速度达到你想要的速度。
· 图形模型:比如我们常见的bode图,阶跃响应图

2575dde0aaaa08da4bff2cc6ae722f8b.png

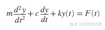
· 数学模型:常用差分、微分方程表示。
对每一个物理系统,它都有一个确定的输入输出关系式,而我们可以把它写成连续时间和离散时间系统。
常见的连续时间表达式有微分方程,状态空间和传递函数。

68b7084b50b6774649e85703024cff38.png

49df4a49d2c91e96e76601a083076913.png

5487e6657262d571e45c5d4d4e1248e7.png

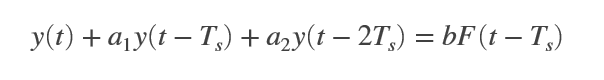
常用的离散时间表达式是差分方程(difference equations):

90ff1d7c5ac967534c94e1471520dc1c.png


2.创建模型(两种方法)
· 分解成子系统:比如一个机械手臂,能够分成很多个子系统。再把简单的子系统按流程构造成框图,就得到了模型。
· 实验分析法:通过实验获取输入输出信号值,通过数据分析推断模型。这个方法就是系统辨识。
3.真实系统的虚构性
数学模型为我们提供了一个窗口,来观察真实世界。但我们永远无法对物理系统构建一个完全精确的数学模型。三、;最小二乘法和ARX模型
(待更) 四、系统辨识过程
1.三要素
· 数据集:用户通过设定测量哪些信号,什么时候和怎么测量,以及可选择输入信号的形式。这种通过实验获得的数据,当然是信息越丰富,输出有限制越好。
· 选择一类模型结构:系统辨识最重要的一环。工程师根据经验预判哪种模型更合适。如果模型的参数不能反应物理系统的状态,我们称之为“黑箱”。反之,称为“灰箱”。
· 评估规则(estimate rule):辨识的方法。模型好不好,要看在同样的输入条件下,该模型的输出和原系统的输出相似度高不高。
2.模型验证
在辨识出一个模型后,还要去测试这个模型是否“足够好”。
3.系统辨识的循环
好事多磨,辨识一次不一定能得到一个较理想的模型,通过模型验证validation后,如果模型拟合不佳,继续从第一步重新做。

a8f38ecd034a50e19fabc85dd4f1de4a.png

参考文献:

《System Identification Theory for the User》

《动态系统辨识》

matlab的系统辨识工具箱

最后

以上就是俭朴画板最近收集整理的关于一阶系统开环传递函数表达式_自控原理之系统辨识--入门介绍的全部内容,更多相关一阶系统开环传递函数表达式_自控原理之系统辨识--入门介绍内容请搜索靠谱客的其他文章。

本图文内容来源于网友提供,作为学习参考使用,或来自网络收集整理,版权属于原作者所有。
点赞(219)

评论列表共有 0 条评论

立即
投稿
返回
顶部