文章目录
- 题目
- 题解
-
- 三段式(不通过,只是延迟了一拍)
- 两段式(通过)
题目
描述
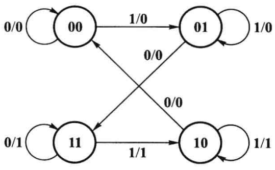
某同步时序电路的状态转换图如下,→上表示“C/Y”,圆圈内为现态,→指向次态。
请使用D触发器和必要的逻辑门实现此同步时序电路,用Verilog语言描述。

电路的接口如下图所示,C是单bit数据输入端。

输入描述:
最后
以上就是风趣台灯最近收集整理的关于【校招Verilog快速入门】时序逻辑篇:VL22、根据状态转移图实现时序电路(FSM)题目的全部内容,更多相关【校招Verilog快速入门】时序逻辑篇内容请搜索靠谱客的其他文章。
本图文内容来源于网友提供,作为学习参考使用,或来自网络收集整理,版权属于原作者所有。
发表评论 取消回复