引言
ode的全称是Ordinary differential equations(常微分方程)的缩写。
ode45就是一种常微分方程求解器,这种求解器采用的是Runge-Kutta解法的 中阶 解法;
ode45即Nonstiff(非刚性问题)微分方程式。
注意:大部分情况下,都需要先把高阶微分方程变换成一阶微分方程组的形式进行求解。
这也解释了现代控制理论建立在状态空间方程上的原因。
实例
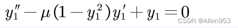
假设要解下面这个微分防方程:

我们把这个Second order differential equation(二阶微分方程)改写乘一阶微分方程组的形式。
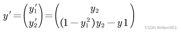
令
则。
ode45这个微分方程求解器的用法如下:
![]()
我们编写如下代码,把微分方程写出来。
这里的
我们令
为1,所以

写成代码即为如下所示:
function dy = odeBai(t,y)
dy = zeros(2,1);
dy(1) = y(2);
dy(2) = (1 - y(1) * y(1)) * y(2) - y(1);
end
matlab代码

然后就调用求解器求解这个微分方程:
[t,y] = ode45(@odefun,[0 20],[2; 0]);
第二个参数是仿真时间范围,就是从0秒到20秒。
第三个参数是状态初值,即初始时间dy=2,ddy=0;

参考文献
1.matlab帮助文档
最后
以上就是细心溪流最近收集整理的关于Matlab使用ode45求解器求解常微分方程引言实例参考文献的全部内容,更多相关Matlab使用ode45求解器求解常微分方程引言实例参考文献内容请搜索靠谱客的其他文章。
本图文内容来源于网友提供,作为学习参考使用,或来自网络收集整理,版权属于原作者所有。
发表评论 取消回复