声明:本文来自于微信公众号 AIGC开放社区,作者:AIGC开放社区,授权热心网友转载发布。

昨晚,国产大模型平台DeepSeek发布了,全新推理模型DeepSeek-R1-Lite预览版。

这个模型的最大特色便是深度思维链推理,尤其是在数学、代码以及各种复杂推理任务上,可以生成数万字的推理流程,让用户深度了解模型生成内容的全过程。

例如,连GPT-4o等模型都搞错的9.11比9.9更大的“难题”,R1通过超长思维链推理可以轻松搞定。

图片

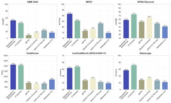
值得一提的是,R1在美国数学邀请赛AIME2024、MATH和Codeforces的测试数据分别是52.5、91.6、1450击败了OpenAI的o1预览版,并且开源模型和API也将很快发布。

图片

R1发布后得到了大量国外网友的赞扬。有网友表示,DeepSeek发布了R1,OpenAI将迎来劲敌,迫使他们尽快发布o1满血版。

图片

了不起的工作!能超越 o1-preview 是一个巨大的成就!

图片

这太不可思议了!如果你只是用这个推理模型来处理推理任务,并为其他事情使用传统的语言模型,那么一天50条消息对于普通人来说确实已经足够了。干得好,来自巴西的祝贺!

图片

我刚刚用高度复杂的研究问题测试了 @deepseek_ai 发布的深度思考模型。它的思考和推理过程让我大为震撼!在我看来,这达到了高级博士水平,而且在某些情况下,它的推理远胜于 o1-preview!我感到敬畏。

图片

非常好!期待你们的API。

图片

天啊,中国做到了!DeepSeek 刚刚发布了DeepSeek-R1-Lite-Preview,他们的推理模型,表现和 o1-preview* 一样好,甚至更好。

我用一些只有 o1-preview能回答的问题测试了它,它完美解决了。并且即将开源,如果真的发生,这将对整个AI行业产生巨大冲击。

图片

能够看到 DeepSeek 的思维推理过程真的太好了。

图片

我试用了这个模型,在某些任务的编码方面,似乎仍然不如 o1-preview。但我觉得它的数学能力更强。整体表现差不多,我真的希望OpenAI 现在发布 o1-full版本。

图片

实时透明的思维过程非常重要!我们可以看到它的思考过程,这真是令人惊叹。

图片

能有另一个大脑一起工作总是很棒的。干得好!

图片

非常棒!

图片

我非常震惊。可见的思维链对于开放式 AI 研究来说是一个重大突破。祝贺你们!

图片

太疯狂了,什么时候开放API?

图片

也有网友放上了R1的测试视频:由 @deepseek_ai 开源的 R1模型轻松地‘思考’了100多秒,并生成了超过7500个连贯的tokens!

图片

是时候认真对待开源模型了。DeepSeek 刚刚通过它的新模型 R1-lite 改变了游戏规则。通过像 o1一样扩展测试时的计算,并且‘思考’时间更长(我试的时候大约5分钟),它在 MATH 基准测试中达到了91.6% 的最先进水平!感觉都去试试吧!

图片

目前,DeepSeek还没有开放R1的论文,但可以免费在线使用了,每天提供50次深度思维推理。就像上面网友说的,只要不是专门搞科研、编程开发,这足够用了。

「AIGC开放社区」体验了一下确实推理流程很强且透明化。我们就问一个非常经典,让无数大模型头疼的问题吧——9.11和9.9到底哪个大。

先试了一下GPT-4o mini,依然给出了9.11比9.9更大的错误答案,问多少次都这样。

图片

在试试R1,在没开启超强思维链的情况下,就已经回答正确了9.9更大。

图片

开启深度思考试一下,R1会把所有的思考和不断反思流程展现出来,非常长,最终结果还是9.9。

图片

图片

图片

目前,R1每天免费提供50次深度思维链推理,有兴趣的小伙伴可以试试。

免费体验:https://chat.deepseek.com/a/chat/

(举报)

点赞(91)

评论列表共有 0 条评论

立即
投稿
返回
顶部