1. 皮尔逊相关系数(Pearson Correlation Coefficient)
1.1 衡量两个值线性相关强度的量
1.2 取值范围[-1, 1]
正相关:>0, 负相关:<0, 无相关:=0
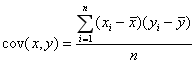
1.3 要理解Pearson相关系数,首先要理解协方差(Covariance),协方差是一个反映两个随机变量相关程度的指标,如果一个变量跟随着另一个变量同时变大或者变小,那么这两个变量的协方差就是正值,反之相反,公式如下:

方差:
最后
以上就是开心苗条最近收集整理的关于机器学习-回归中的相关度和R平方值的全部内容,更多相关机器学习-回归中内容请搜索靠谱客的其他文章。
本图文内容来源于网友提供,作为学习参考使用,或来自网络收集整理,版权属于原作者所有。
发表评论 取消回复