三角网格表面高斯曲率的计算与可视化
所谓曲面上某点的高斯曲率,即该点两个主曲率的乘积。把曲面上的顶点映射到单位球的球心,把法线的端点映射到球面上,即将曲面上的点与球面上的点建立了一种对应,叫做曲面的球面表示,也叫高斯映射。高斯曲率的几何意义,即球面上的面积/曲面局部面积的极限,可以看出,高斯曲率确实反映了曲面局部的弯曲程度。

利用高斯曲率的正负性,可以很方便地研究曲面在一点邻近的结构,高斯曲率K>0为椭圆点,K<0为双曲点,K=0为平面或抛物点。并且高斯曲率是曲面的内蕴量,只与曲面的第一基本型相关,与坐标轴的选取和参数化表示无关。
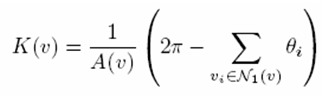
言归正传,求解三角网格表面的高斯曲率,就需要利用离散微分几何,我采用的公式为:

这个公式的几何意义是比较直观的,2*Pi-该点邻域三角形对应的角度和,再除以相应区域的面积,就刻划了该点曲面的弯曲程度。

其实推导出上述公式的方法是非常巧妙的,仔细研究一下,它利用了在高斯映射的几何意义下,离散高斯曲率对局部曲面的积分
考虑p点邻域法线映射到单位球上的面积,即近似为 2*Pi-该点邻域三角形对应的角度和
不仔细写了,大家看看下面这张图,感受一下这个公式的美妙:

具体的编码比较简单,求出GaussCurvature数组后,归一化到[0,1],设定三种颜色c1灰黄,c2绿,c3红,线性加权伪彩显示。K>0显示为绿色,K<0显示为红色,K=0显示为灰黄色,颜色越鲜艳,高斯曲率的绝对值越大。实现效果如下图

显示效果不好,搞过图像处理的人就知道了,需要做一个直方图均衡

直方图均衡后的显示效果为:

这样的效果就好多了,鼻梁处红色的为典型的双曲点(两个主曲率异号,主方向的两条法截线,一条向法线的正向弯曲,一条向法线的反向弯曲,形成马鞍面),鼻尖处绿色的为典型的抛物点(两个主曲率同号,曲面沿所有方向都朝向同一侧弯曲),脑门处较平坦的区域(有一个主曲率接近0)高斯曲率的绝对值较小,颜色也比较淡。
贴出更多的试验图片,计算高斯曲率并伪彩显示,确实可以直观地看出曲面的一些属性,应该可以指导网格去噪、平滑、简化、分割等后继的研究




三角网格上离散高斯曲率的计算公式比较简单,做了这个简单的练习,把网格表面顶点属性可视化的程序框架搭建好了。以后有机会也可以实现一下平均曲率,主曲率,主方向的计算。
最后
以上就是迷人鞋垫最近收集整理的关于三角网格表面高斯曲率的计算与可视化的全部内容,更多相关三角网格表面高斯曲率内容请搜索靠谱客的其他文章。
发表评论 取消回复