我是靠谱客的博主 拼搏香氛,这篇文章主要介绍【机器学习的高等数学基础】导数的几何意义和物理意义、函数的可导性与连续性之间的关系、平面曲线的切线和法线、基本导数与微分表、微分中值定理,泰勒公式、弧微分、曲率、曲率半径、洛必达法则、渐近线的求法等机器学习的数学基础高等数学,现在分享给大家,希望可以做个参考。
机器学习的数学基础
高等数学
文章目录
- 机器学习的数学基础
- 高等数学
- 1.导数定义:
- 导数和微分的概念
- 2.左右导数导数的几何意义和物理意义
- 3.函数的可导性与连续性之间的关系
- 4.平面曲线的切线和法线
- 5.四则运算法则
- 6.基本导数与微分表
- 7.复合函数,反函数,隐函数以及参数方程所确定的函数的微分法
- 8.常用高阶导数公式
- 9.微分中值定理,泰勒公式
- 10.洛必达法则
- 11.泰勒公式
- 12.函数单调性的判断
- 13.渐近线的求法
- 14.函数凹凸性的判断
- 15.弧微分
- 16.曲率
- 17.曲率半径
1.导数定义:
导数和微分的概念

2.左右导数导数的几何意义和物理意义

3.函数的可导性与连续性之间的关系

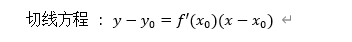
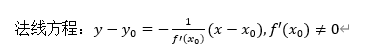
4.平面曲线的切线和法线
切线方程 :

法线方程:

5.四则运算法则

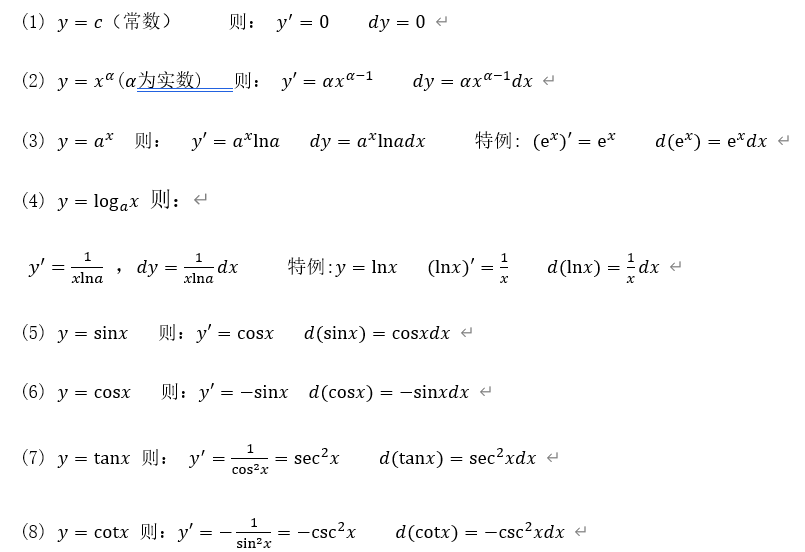
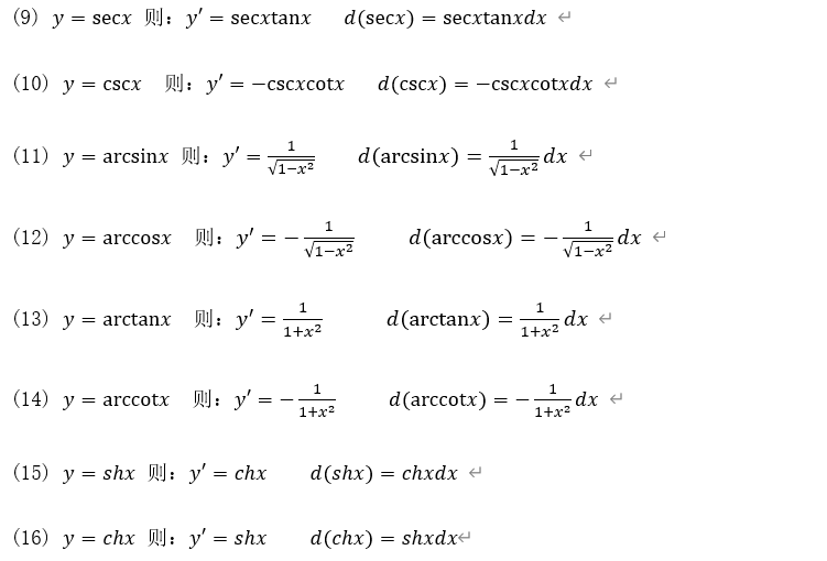
6.基本导数与微分表


7.复合函数,反函数,隐函数以及参数方程所确定的函数的微分法

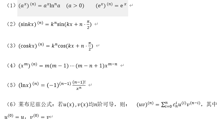
8.常用高阶导数公式

9.微分中值定理,泰勒公式


10.洛必达法则


11.泰勒公式



12.函数单调性的判断

13.渐近线的求法

14.函数凹凸性的判断

15.弧微分

16.曲率

17.曲率半径

最后
以上就是拼搏香氛最近收集整理的关于【机器学习的高等数学基础】导数的几何意义和物理意义、函数的可导性与连续性之间的关系、平面曲线的切线和法线、基本导数与微分表、微分中值定理,泰勒公式、弧微分、曲率、曲率半径、洛必达法则、渐近线的求法等机器学习的数学基础高等数学的全部内容,更多相关【机器学习内容请搜索靠谱客的其他文章。
本图文内容来源于网友提供,作为学习参考使用,或来自网络收集整理,版权属于原作者所有。
发表评论 取消回复