0 引 言
电阻测量在水质监测和溶液浓度、木材、粮食、土壤等含水量的测量中有着广泛的应用.电阻测量常采用电极测量法,即根据物质或溶液的导电特性,测量介质电阻.这种含水物质的导电率测量若用直流测量会受极化效应的影响,为消除该影响,必须用交流激励源进行测量.这样,在测量过程中,电容是影响电阻测量精度的重要因素之一.常见的解决方案有下面几种:(1)通过电容补偿装置[1]对电容进行补偿,但电容补偿装置不能随电容变化进行自动补偿,所以应用效果并不理想. (2)相敏检波法[2].对电极施加交流激励源,交流激励源通过电容和介质电阻时存在相位差,然后经过相敏检波,低通滤波得到的直流量只与介质电阻有关,而与电容无关,从而达到消除电容影响的目的.但这种方法电路较复杂. (3)双脉冲法[3、4].对电极施加正负两个脉冲,脉冲结束瞬间进行测量,保证电容上电压已稳定,没有电流流过,电容相当于开路,仅有介质电阻起作用.这种方法由于要在脉冲沿处测量,要求硬件电路响应速度非常快.
本文提出了一种变频电阻测量方法.激励源采用交流方波施加于电极分压电路,选择两个合适频率测出分压电路输出交流信号精密整流滤波后的直流电压,解方程组求出分压电路时间常数,然后求出介质电阻.
1 变频电阻测量方法的原理[5]
为抑制极化效应,在液体或含水物质的电阻测量中,通常使用交流激励源.测量探头极板电容、引线电容以及被测物质的电容特性相当于在被测物质上并联了一个电容(统称为分布电容),使电阻测量受到影响.图1中的虚线框部分是常见的电极模型[6],介质电阻rx与分布电容cp相并联.
变频电阻测量原理如图1所示,电阻rx与cp并联与电阻r1分压.激励源是幅值为e、占空比为50%、频率连续可调的方波.电极输出电压vo经运放缓冲,然后精密半波整流得到vo1,再经运放缓冲,滤波得直流输出电压v.
图1中分压电阻r1和虚线框电极部分构成阻容网络,其充放电时间常数为


图2中实线是进入稳态后电极输出电压vo的充放电波形,虚线方波表示激励源,设脉宽为t,周期为2t.根据电路理论,v1(t)为电容充电电压,v2(t)为电容放电电压,可以推出在一个周期内电压vo的表达式:



精密整流后的电压波形如图3所示,ta、tb为电压过零的时间,代入式(2)有v1(ta) = 0,v2(tb) = 0,解得

由式(1)知,τ与rx和cp有关,是未知量.故v在已知e、r1、t条件下是rx和τ的二元函数.选择两个频率f1和f2(对应两个频率半周时间t1=1/2f1,t2= 1/2f2),代入式(4)得如下方程组:

由方程组(5)的v1表达式,可以推出rx的表达式为

这样,根据激励源的周期t1、t2和测得的整流滤波后的直流输出电压v1、v2以及激励源幅值e,就可以求出被测阻容网络的时间常数τ和被测电阻rx.
式(6)是关于τ的一元非线性方程,用迭代法由matlab语言编程解得τ值,代入式(7)就可以得到rx的值.而且该值与cp无关,有效地消除了分布电容的影响.
2 比例法测量原理和激励源频率的选择
由式(5),输出电压v1和v2与e成比例关系,从τ的表达式(6)更能清晰地看出,τ与v1和v2的比值有关,而与绝对值没有关系.由式(7),rx与v1和e的比值有关,可以通过电路切换由同一测量电路测出e值.因此只要在一段时间内精密测量v1、v2和e的相对关系,就能准确求出τ和rx.对e的精度和测量电路的长期稳定性要求很低说明由单片机口线直接产生激励方波信号用于电阻测量就能够保证测量精度.
由式(6)可知,如果两个直流电压接近,比值接近于1,则求解方程时会造成很大的运算误差,所以要选择两个合适的频率,保证得到的两个直流电压具有一定的区分度.
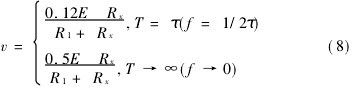
分析式(4),脉冲宽度t和频率f满足关系f=1/2t,令t=τ(f=1/2τ),t→∞(f→0),观察v的取值:

可见,f由0到1/2τ变化,v下降到直流时的34%.所以一个频率选在低频段(如10 hz或100hz),另一个频率选为1/2τ处,可以满足输出直流电压的区分度要求.当电阻很小,导致τ值很小时,可以取t=2τ(f=1/4τ)或更宽,虽然降低了两个直流电压的差值,但避免频率过高而使电路难以实现.
3 实验验证
3.1 实验电路
根据测量原理设计实验验证电路如图4所示.输入激励源为占空比50%,幅值、频率连续可调的交流方波,由信号发生器产生.分压电阻r1(100 kω)和电极模型中电阻rx(1 kω~1mω)均采用温漂25×10-6/℃的高精度金属膜电阻,电容cp采用标称值为500~8 000 pf的陶瓷电容模拟.电极输出电压经高输入阻抗运放lf356缓冲,运放op27精密半波整流,然后经lf356缓冲、rc低通滤波得直流量v.在电极输出和激励源输出之间加一开关s进行切换.用6位半数字万用表hp 34401a读出被测实验电阻值和直流电压值.
3.2 消除电容影响的实验验证
将开关s切换到a,测量电极输出,激励源幅值e= 1 v.cp分别取500、1 000、1 500、2 000、4 000、8 000 pf作6组实验数据,每组实验的电阻范围是1 kω~1 mω.对每个电阻测量时,合理选择激励源频率,以保证v1和v2差值较大,减小计算误差.实验中,先由数字万用表测出rx值,根据实验电路参数r1(100 kω)和cp,估算出时间常数(由于电容不准确和含有引线的分布电容,该时间常数不一定准确,仅用来参考确定测量频率),确定f1、f2.测出对应的v1和v2,结合f1、f2对应的脉宽t1=1/2f1和t2=1/2f2,代入式(6)迭代求解τ.最后通过式(7)得到计算电阻值rx1.该值与被测电阻rx比较,得到相对误差

表1是cp=2000 pf时各种实验电阻下的一组数据

由表1可以看出,rx在20~200 kω时,测量精度达到0.1%以上,这是因为测量电路是单臂桥路,分压电阻r1=100 kω,rx在接近r1时灵敏度较高,测量误差对结果影响较小.rx在1 kω~1 mω时,测量精度也达到了1%,满足一般应用场合需要.可以通过改变r1的值来改变电阻的测量范围,或通过开关切换分压电阻来扩展测量范围.
表2是cp取500、1 000、1 500、4 000、8 000pf时,rx取不同电阻(1 kω~1 mω)时的相对误差.
从表2可以看出,cp在不同容值下(500~8 000 pf)对电阻的测量基本没有影响,证明了这种测量方法的优点和理论推导的正确性.
3.3 与激励源幅值无关的实验验证
取rx=81.842 kω,cp=2 000 pf,f1、f2分别是100和5 600 hz,改变e值(0.5~1.5 v),来验证其对测量精度的影响.将开关s切换到b,测得直流输出电压后乘以2得到e(激励源为方波信号),然后将开关切回a,测量两个频率下的直流电压,迭代出τ,计算出rx值.结果示于表3.


由表3可知,在不同的激励源幅值下,得到的时间常数基本不变,电阻值误差分布在1%以内.说明激励源幅值对测量精度没有影响.
4 结 语
本文提出了一种变频电阻测量方法,通过测量两种频率下的电压值间接得到被测电阻值,有效消除了分布电容和激励源幅值对电阻测量精度的影响,对于解决有分布电容且需要交流激励测量的电阻测量的问题具有重要意义.当然,此测量方法中,电容值不能随激励源频率变化而变化,同时测量频率的选择也需要根据被测对象的特性做出调整,但这种方法对于解决这类有电容影响的电阻测量问题提供了一种新的思路.
利用单片机定时器,从口线产生频率连续可调的方波,可以根据测得的输出电压自动搜索确定两个测量频率.用运算和查表相结合求解式(6)的τ值,然后运用公式(7)可以较容易地计算得到被测物质电阻值.该方法对于智能仪器解决实际工程中电阻或电导的测量具有一定指导作用.
最后
以上就是谨慎老虎最近收集整理的关于相敏检波电路matlab,一种消除分布电容影响的电阻测量方法的全部内容,更多相关相敏检波电路matlab,一种消除分布电容影响内容请搜索靠谱客的其他文章。
发表评论 取消回复