江苏大学矩阵论、数理统计期末复习
- 后记
- 矩阵论
- 求基与维数
- 题目1 - 课堂 pdf
- 题目2 - 课堂pdf
- 题目3 - 复习题A
- 题目4 - 矩阵论.doc
- 求 ρ ( a ) rho(a) ρ(a) 、 c o n d ( A ) ∞ cond(A)_infty cond(A)∞ 、收敛和、高次多项式
- 题目1 - 矩阵论.doc
- 题目2 - 复习题A
- 求高次矩阵多项式 - 矩阵论.doc
- 最大秩分解
- 矩阵论.doc
- 复习题
- 对角化
- 题目1 - 矩阵论.doc
- 题目2 - 求基、度量矩阵 - 复习题A
- QL分解、LU分解
- 题目1 - 复习题 A
- 题目2 - 矩阵论.doc
- 矩阵论复习题(手写)
- 数理统计
- 数理统计复习笔记(手写)
后记
虽然写在最前面,但是这个其实是考完以后的记录。
先说结果,都过了,而且两门课都在 80 左右(一上一下)。
这学期课没去过几次,考前两门课加起来复习了一个星期,结果算不错啦。
一开始这篇博客只有矩阵论相关资料,后来把数理统计补上了(数理统计资料比较少)
好歹也是对努力学习这两门课(一个星期)的收获的记录 ????
最后说一下,学校的打印店挺坑的诶,感觉往年卷子几乎没有参考价值的(较老年份),基本上看我发到网盘里的资料就可以了。实在想买就当花钱买个心安咯~
矩阵论
这份笔记应该只适用于2021年的江苏大学矩阵论期末考试…
如果后面有学弟学妹们看见,可以参考一下,不过主要还是要看你们那一年的复习题。
这是我复习时的一些资料(师兄们传下来的,以及我自己收集的,还有老师发的课件和题目…),学弟学妹们记得传承下去:矩阵论资料
网上找到的,别人整理的一些知识点(非江苏大学),有些知识点可以用上:
- 矩阵论期末考试(一)
- 矩阵论期末考试(二)
求基与维数
一些名词解释:
-
span 可以理解为 “生成”, s p a n { a 1 , a 2 , . . . , a n } span{a_1,a_2,...,a_n} span{a1,a2,...,an} 表示以 a 1 , a 2 , . . . , a n a_1,a_2,...,a_n a1,a2,...,an 为基的向量空间,就是形如 k 1 a 1 + k 2 a 2 + … … + k n a n k_1a_1+k_2a_2+……+k_na_n k1a1+k2a2+……+knan, k i k_i ki 是任意实数的向量的集合
-
基:一组线性无关的向量集,可以生成给出的子空间
-
维数 - dim:基中含有向量的个数,即线性无关的向量的个数,即秩
-
求 V 1 + V 2 V_1 + V_2 V1+V2 的情况很简单, V 1 ∩ V 2 V_1 cap V_2 V1∩V2 记住套路就行:设一个 x 满足 V1、V2 线性关系
注意:一般 d i m ( V 1 ∩ V 2 ) dim(V_1 cap V_2) dim(V1∩V2) 好像都等于 1
题目1 - 课堂 pdf

题目2 - 课堂pdf
这题的难点在于没有直接给出 V 1 V_1 V1 的基,所以要先求 V 1 V_1 V1 的基
求 V 1 V_1 V1 的基也很简单,就是移个项,将某个变量用其他变量表示,然后给其他变量01赋值即可


题目3 - 复习题A

题目4 - 矩阵论.doc

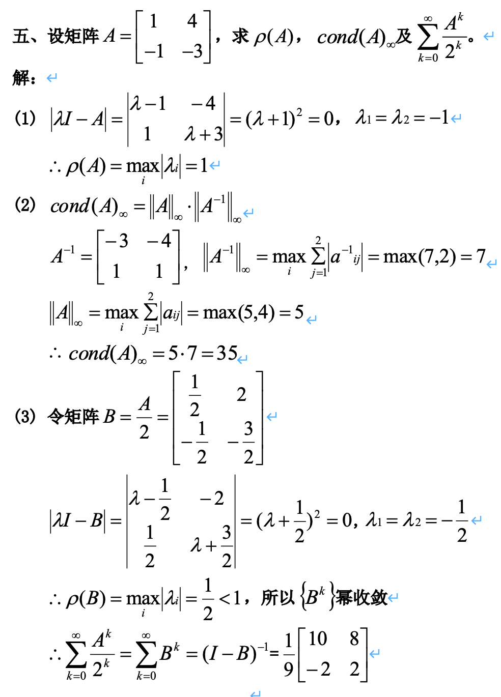
求 ρ ( a ) rho(a) ρ(a) 、 c o n d ( A ) ∞ cond(A)_infty cond(A)∞ 、收敛和、高次多项式
矩阵论三种常见的范数,我们主要用的无穷范数(行和范数)、1-范数(列和范数)
一些笔记:
- ρ ( a ) rho(a) ρ(a) 就是谱半径,就是特征值绝对值(如果复数则取模)中的最大值
如果矩阵的特征值是复数,取模:谱半径 = 根号下 实部^2 + 虚部^2
-
无穷范数(行和范数) ∣ ∣ A ∣ ∣ ∞ ||A||_infty ∣∣A∣∣∞ 就是沿行方向取绝对值求和,取最大值
∣ ∣ A − 1 ∣ ∣ ∞ ||A^{-1}||_infty ∣∣A−1∣∣∞ 对 A 求逆后,同理
1-范数(列和范数) ∣ ∣ A ∣ ∣ 1 ||A||_1 ∣∣A∣∣1 就是沿列方向取绝对值求和,取最大值
-
条件数 c o n d ( A ) cond(A) cond(A) 等于A的无穷范数与 A − 1 A^{-1} A−1的无穷范数的乘积
-
判断矩阵是否收敛: 谱半径 < 1,则收敛
也可以对谱半径的范围进行 估计,谱半径 <= ∣ ∣ A ∣ ∣ ∞ ||A||_infty ∣∣A∣∣∞、 谱半径 <= ∣ ∣ A ∣ ∣ 1 ||A||_1 ∣∣A∣∣1
-
判断矩阵级数(幂级数)是否收敛:谱半径 < 收敛半径,则收敛
收敛半径 = a k + 1 / a k a_{k+1} / a_k ak+1/ak( a k a_k ak 就是矩阵幂级数 A k A^k Ak 前面的那一块)
-
求矩阵幂级数和:先证明矩阵 B 收敛,然后套公式:级数和 = ( E − B ) − 1 (E-B)^{-1} (E−B)−1
解题笔记:
- 反正遇到这些题目就先求:特征值、特征向量
- 然后就按照套路做下去…
题目1 - 矩阵论.doc

题目2 - 复习题A

求高次矩阵多项式 - 矩阵论.doc
一些笔记:
-
这个完全就是套路啊:大致步骤如下,结合例题,一下就懂了
1、求特征多项式(关于 λ lambda λ 的多项式)
2、把要求的式子中的矩阵,全部写作 λ lambda λ
3、长除法:要求的式子 / 特征多项式
4、长除法得到余数,里把 λ lambda λ 换成矩阵,并计算

最大秩分解
一些笔记:
-
求最大秩分解也是套路,先把矩阵 A 化到标准形,同时得到 A 的秩 n
然后,A 的前 n 列就是 B,A 的标准形的前 n 行就是 C,满足 A = BC
-
求 A + A^+ A+,好像主要就是考: A + = C + B + = C T ( C C T ) − 1 ( B T B ) − 1 B T A^{+} = C^+ B^+ = C^T(CC^T)^{-1}(B^TB)^{-1}B^T A+=C+B+=CT(CCT)−1(BTB)−1BT

矩阵论.doc

复习题

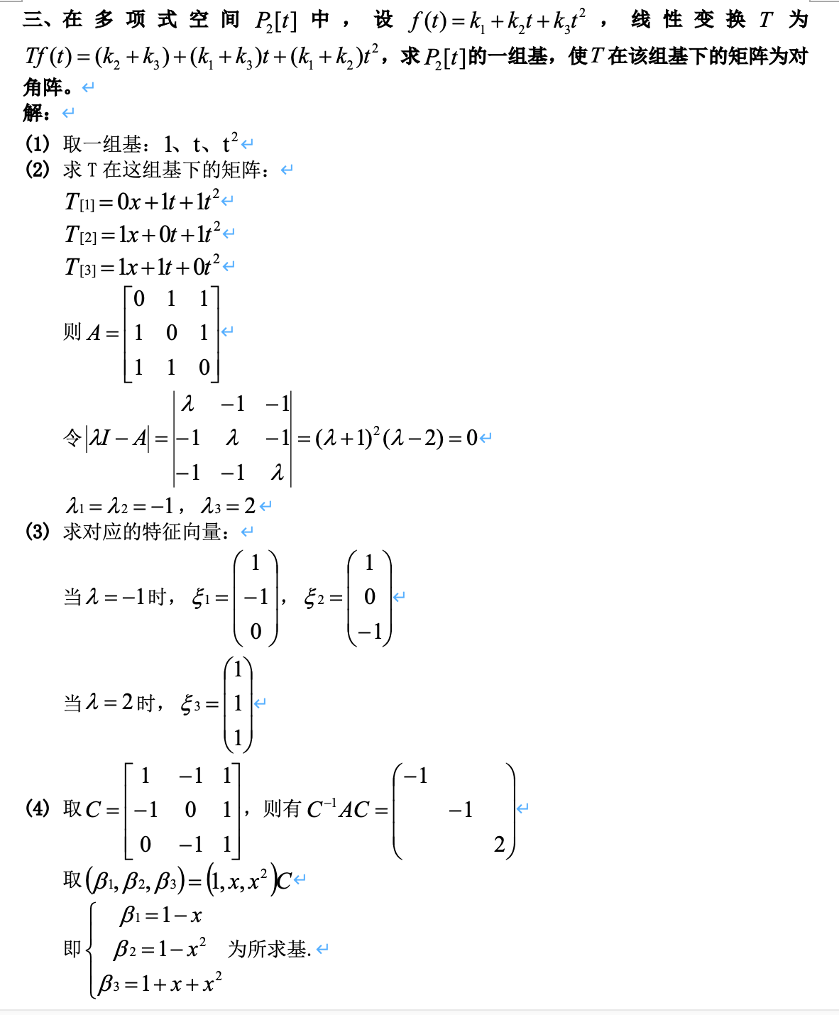
对角化
一些笔记:
- 度量矩阵的求法:

题目1 - 矩阵论.doc

题目2 - 求基、度量矩阵 - 复习题A

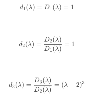
QL分解、LU分解
行列式因子、不变因子、初等因子 可以参考这篇文章,很详细
一些笔记:
- 矩阵A可以进行LU分解的充要条件是:A的顺序主子式全不为0
- 行列式因子从 n -> 1 求,符号是 D n ( λ ) D_n(lambda) Dn(λ);不变因子从 1 -> n 求,符号是 d n ( λ ) d_n(lambda) dn(λ)
方法总结:
-
先写出 λ E − A lambda E - A λE−A
-
然后求行列式因子 D n ( λ ) D_n(lambda) Dn(λ) -> D 1 ( λ ) D_1(lambda) D1(λ)
-
然后求不变因子: d 1 ( λ ) d_1(lambda) d1(λ) -> d n ( λ ) d_n(lambda) dn(λ),

-
初等因子就是从不变因子开始找次项不为0的式子
-
已知初等因子求若当标准型要:

题目1 - 复习题 A

题目2 - 矩阵论.doc

矩阵论复习题(手写)
数理统计
复习资料: https://www.aliyundrive.com/s/Nc7x61UhdeX
如果是想刷题的话,看资料文件里面的 考试题库之 24 题(重要).pdf,每年的考试题都是从这里出的(而且题目都不改),之前学长和我说我还不信,今年考了发现确实是这样。
课堂测验 文件夹里面的是今年老师课上做的测试题与答案,这个每年应该不一样。
以上两个比较重要,其他是一些常规资料:老师课件 + 课本 + 习题答案 …
数理统计复习笔记(手写)
可以参考一下,根据考试情况来说,我写的就是除了证明题意外所有的类型了。




最后
以上就是害怕长颈鹿最近收集整理的关于江苏大学矩阵论、数理统计期末考试复习后记矩阵论数理统计的全部内容,更多相关江苏大学矩阵论、数理统计期末考试复习后记矩阵论数理统计内容请搜索靠谱客的其他文章。
发表评论 取消回复