短波通信作为无线通信领域重要的通信手段,具有通信距离远、机动性强、顽存性高等优点,但易受多径效应影响。多径效应既是短波通信信道衰落的经常性成因,也是限制短波通信传输带宽或传输速率的重要因素。构建可信的短波信道多径效应仿真模型,是提升短波通信产品抗多径效应影响的重要支撑手段。因此,针对短波信道多径效应模型及特点,提出了基于FPGA的短波通信信道多径效应模拟实现方法,为ITS信道仿真提供了一种解决思路。
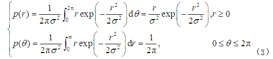
为信道的冲击响应,由
条路径的响应组成;*为卷积,
为噪声。其中:
为对应路径的延迟功率谱,
为确定相位函数,
为随机相位调制函数。
条路径在短波信道模型中一般指的是来自不同模式的延时路径。不同模式可以是不同仰角模式、不同极化模式(O模式或X模式)、多层(E层或F层)模式、单跳或多跳模式等。
1.3 基于FPGA的短波通信信道多径效应模拟的实现
1.3.1 多径衰落
小尺度衰落又叫多径衰落,即接收机所接收到的信号是通过不同的直射、反射、折射等路径到达接收机。由于电波通过各个路径的距离不同,因而各条路径中发射波的到达时间、相位都不相同。
不同相位的多个信号在接收端叠加,如果同相叠加则会使信号幅度增强,反相叠加则会削弱信号幅度。这样接收信号的幅度将会发生急剧变化产生衰落。
在小尺度(几倍波长)上,移动无线信道主要对传播信号存在以下几种效应:由多径传播造成的信号强度在短距离(短时间)上的急剧变化(接收信号幅度变化);多普勒频移(接收信号载频变化);多径时延引起信号的时间色散(基带解调信号波形失真)。
将这些效应统称为多径效应或小尺度衰落效应。简单说,如果发射机、接收机或者相互作用体处于运动中,干涉信号以及相应的合成信号幅度都会随着时间变化。这种由于不同多径分量的相互干涉而引起的合成信号幅度的变化称为小尺度衰落。
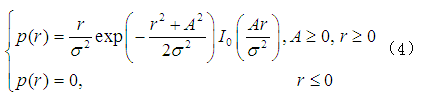
若信道为平坦衰落信道,接收信号的包络通常服从瑞利分布。服从瑞利分布的条件:多径分量的到达时间差别不大,码间干扰不明显;各个到达接收机的多径分量入射方向呈散射状分布,各多径分量具有近似相等的幅度。瑞利衰落的衰落深度达到20~40 dB,衰落速率(每秒内信号包络经过中值次数的一半)为30~40次/s,分布函数为:
为主信号(LOS分量)的振幅峰值,
是零阶1类修正贝塞尔函数。
图2展示了小尺度衰落模型实现的原理。
短波通信广泛应用于军用通信和民用通信。短波信号主要依靠电离层对电磁波的反射和散射实现信息交互。由于电离层极易受到环境因素影响,短波信号传输过程需经历时间选择性衰落、频率选择性衰落和空间选择性衰落。
短波信道作为一种特性十分复杂的时变信道,随环境变化表现出极大的差异性,如多径效应、多普勒效应和空间传播损耗等。
同时,短波信道内还包含大自然和人为的各种噪声,如雷电噪声和工业噪声等,给短波通信质量带来了很大影响。
短波信道模拟器一直被认为是短波通信系统性能评估的有效手段,能有效提升短波通信系统的验证评估能力,能为相同信道状态下不同信号的适应性提供研究支撑,能极大地降低前期研发难度和成本。短波信道模拟器对信道模型的选取是更为真实反映短波信道特征的重要保证。
目前,较多使用Watteron信道模型和ITS信道模型。由于ITS信道模型能够精确仿真出各种类型的传输条件,得到了行业认可和关注。本文主要分析短波信道多径效应,并选择在FPGA数字芯片上实现ITS短波信道多径效应模拟。
1 系统设计
1.1 天波传输 短波信道的突出特点是具有电离层反射传输的方式,与超短波及其他频段的无线信道模型存在差异。 电离层反射和其他建筑物或地形反射的区别: (1)路径距离远,最大可达几个毫秒。 (2)电离层有运动,导致不同的反射路径会出现不同的瞬时相位。相位中包含确定相位部分和随机相位部分,而随机相位具有一定的分布规律。 (3)在宽带信号模型中,不同延时的路径,幅度衰减有一定分布规律。 (4)短波频段的通信速率和带宽较小,相对来说码元时间宽度较大或者说信号波形变化比较平缓,小延时(如5 ns以下)对信道响应几乎不产生明显影响,而大延时则开始产生信道响应变化。 如表1所示,其中D层最靠近地表,为主体吸收层,一般不反射只透射,所以对电磁波有很大衰减;E层一直存在,受昼夜影响大;F层为主体反射层,受日照影响。总的来说,产生电磁波反射的电离层为E层和F层。典型的反射模式如图1所示。 表1 电离层结构



为信道的冲击响应,由
条路径的响应组成;*为卷积,
为噪声。其中:
为对应路径的延迟功率谱,
为确定相位函数,
为随机相位调制函数。
条路径在短波信道模型中一般指的是来自不同模式的延时路径。不同模式可以是不同仰角模式、不同极化模式(O模式或X模式)、多层(E层或F层)模式、单跳或多跳模式等。
1.3 基于FPGA的短波通信信道多径效应模拟的实现
1.3.1 多径衰落
小尺度衰落又叫多径衰落,即接收机所接收到的信号是通过不同的直射、反射、折射等路径到达接收机。由于电波通过各个路径的距离不同,因而各条路径中发射波的到达时间、相位都不相同。
不同相位的多个信号在接收端叠加,如果同相叠加则会使信号幅度增强,反相叠加则会削弱信号幅度。这样接收信号的幅度将会发生急剧变化产生衰落。
在小尺度(几倍波长)上,移动无线信道主要对传播信号存在以下几种效应:由多径传播造成的信号强度在短距离(短时间)上的急剧变化(接收信号幅度变化);多普勒频移(接收信号载频变化);多径时延引起信号的时间色散(基带解调信号波形失真)。
将这些效应统称为多径效应或小尺度衰落效应。简单说,如果发射机、接收机或者相互作用体处于运动中,干涉信号以及相应的合成信号幅度都会随着时间变化。这种由于不同多径分量的相互干涉而引起的合成信号幅度的变化称为小尺度衰落。
若信道为平坦衰落信道,接收信号的包络通常服从瑞利分布。服从瑞利分布的条件:多径分量的到达时间差别不大,码间干扰不明显;各个到达接收机的多径分量入射方向呈散射状分布,各多径分量具有近似相等的幅度。瑞利衰落的衰落深度达到20~40 dB,衰落速率(每秒内信号包络经过中值次数的一半)为30~40次/s,分布函数为:


为主信号(LOS分量)的振幅峰值,
是零阶1类修正贝塞尔函数。
图2展示了小尺度衰落模型实现的原理。



2 结 语
随着技术的进步,FPGA的处理速度得到很大的提高,外部时钟很容易达到几百兆赫兹,利用FPGA实现短波信道模拟器,简化设计,利于算法的优化。 由于ITS信道模型需同时考虑信道对宽带信号的时延展宽和频谱展宽,所以利用FPGA可易实现信号的时延展宽,易产生均匀分布的M码信号,便于实现信号频谱扩展。 由于IT模型能够精确模拟各种信道传输条件,故设计了一种基于ITS信道模型的信道模拟器,具有重要的意义。作者简介 >>>
巫忠跃(1979—),男,硕士,高级工程师,主要研究方向为通信技术; 岳 青(1989—),女,硕士,工程师,主要研究方向为通信技术; 王 奥(1993—),女,学士,主要研究方向为通信技术。 选自《通信技术》2019年第十一期 (为便于排版,已省去原文参考文献) 往期精彩网络流量管理系统中队列管理器的设计与实现
云安全的三宗罪 深度伪造技术的法律挑战及应对 一种面向敏感身份的安全认证方案 网络空间武器化的发展态势及影响 深度伪造对国家安全的挑战及应对
最后
以上就是单薄大船最近收集整理的关于数字信号处理的fpga实现 pdf_基于FPGA的短波通信信道多径效应模拟的全部内容,更多相关数字信号处理的fpga实现内容请搜索靠谱客的其他文章。
本图文内容来源于网友提供,作为学习参考使用,或来自网络收集整理,版权属于原作者所有。
发表评论 取消回复