1.软件版本
matlab2021a
2.本算法理论知识
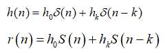
空空信道是一种典型的频率选择性衰落信道。在通信过程中,通信双方之间存在直射径。根据实际工程测量,考虑可分辨多径数为2,因此,其冲击响应和接收数据如下式所示:

直射路径上的信号功率只与通信距离有关,并随距离增大而相应衰减。空空信道中的其他通信路径一般是由于地面、海面以及山体的反射而造成的。多径的功率小于主径,但当无线电波在海面上产生镜面反射时,多径的功率可以接近于直射路径的功率。通过实测可知,在空空通信时,第二径的功率有90%以上的概率在主径功率的0.5至0.96倍之间,其他多径的功率则较小。空空信道中多径的时延与通信双方的高度和距离有关。根据图2中所示,多径所对应的延迟符号数为
![]()
在高速率通信时,由时延造成的延迟符号数非常大,导致均衡器的复杂度非常高。当通信双方以一定的速度巡航飞行时,实际测得,空空信道在1毫秒内能够保持基本不变。
二、建模需要体现的指标
根据通常情况下的多径信道,仿真模型主要体现如下几个指标:
·多径个数;
·每个多径的时延;
·每个多径以及主径的衰弱
·多普勒频移
·高斯白噪声
根据上面的指标,多径信道可以用如下的式子进行建模:

![]()
3.核心代码

4.操作步骤与仿真结论


5.参考文献
[1]楼朝霖, 宋常建, 孔俊霞. 一种基于Simulink仿真环境下的多径衰落信道的建模及测量[J]. 微计算机信息, 2006(10S):2.
A01-46
6.完整源码获得方式
方式1:微信或者QQ联系博主
方式2:订阅MATLAB/FPGA教程,免费获得教程案例以及任意2份完整源码
最后
以上就是粗心枕头最近收集整理的关于【多径信道】多径信道的simulink仿真的全部内容,更多相关【多径信道】多径信道内容请搜索靠谱客的其他文章。
发表评论 取消回复