一. 奇异信号
奇异信号也称突变信号。信号中的奇异点及不规则的突变部分经常携带有比较重要的信息,它是信号重要的特征之一:
例如在图像信号里,灰色的突变形成物体的轮廓。

函数本身有不连续点(跳变点)或其导数与积分有不连续点的一类函数统称为奇异信号或奇异函数。
奇异信号包括:
(1)单位阶跃信号
(2)单位冲激和冲激偶信号
(3)斜变信号,又称为斜坡信号或者斜升信号
1. 单位斜变信号
单位斜变信号斜率为1
2. 单位阶跃信号
单位阶跃函数 t = 0点无定义或为 1 2 frac{1}{2} 21,跳变强度是1
**
门函数(实质还是阶跃函数的组合)
**
***
单位冲激信号
它是一个“面积”等于1的理想化了的窄脉冲。也就是说,这个脉冲的幅度等于它的宽度的倒数。
注意冲激信号的强度和高度不是一回事,详情可参考:
导数和微分的区别与联系
冲激函数的一些重要性质:
对冲激函数求导可得到冲激偶函数,单位冲激偶是这样的一种函数:当 t从负值趋于0时,它是一个强度为无限大的正的冲激函数,当t从正值趋于0时,它是一个强度为无限大的负的冲激函数。
冲击偶函数是奇函数,积分面积为0。
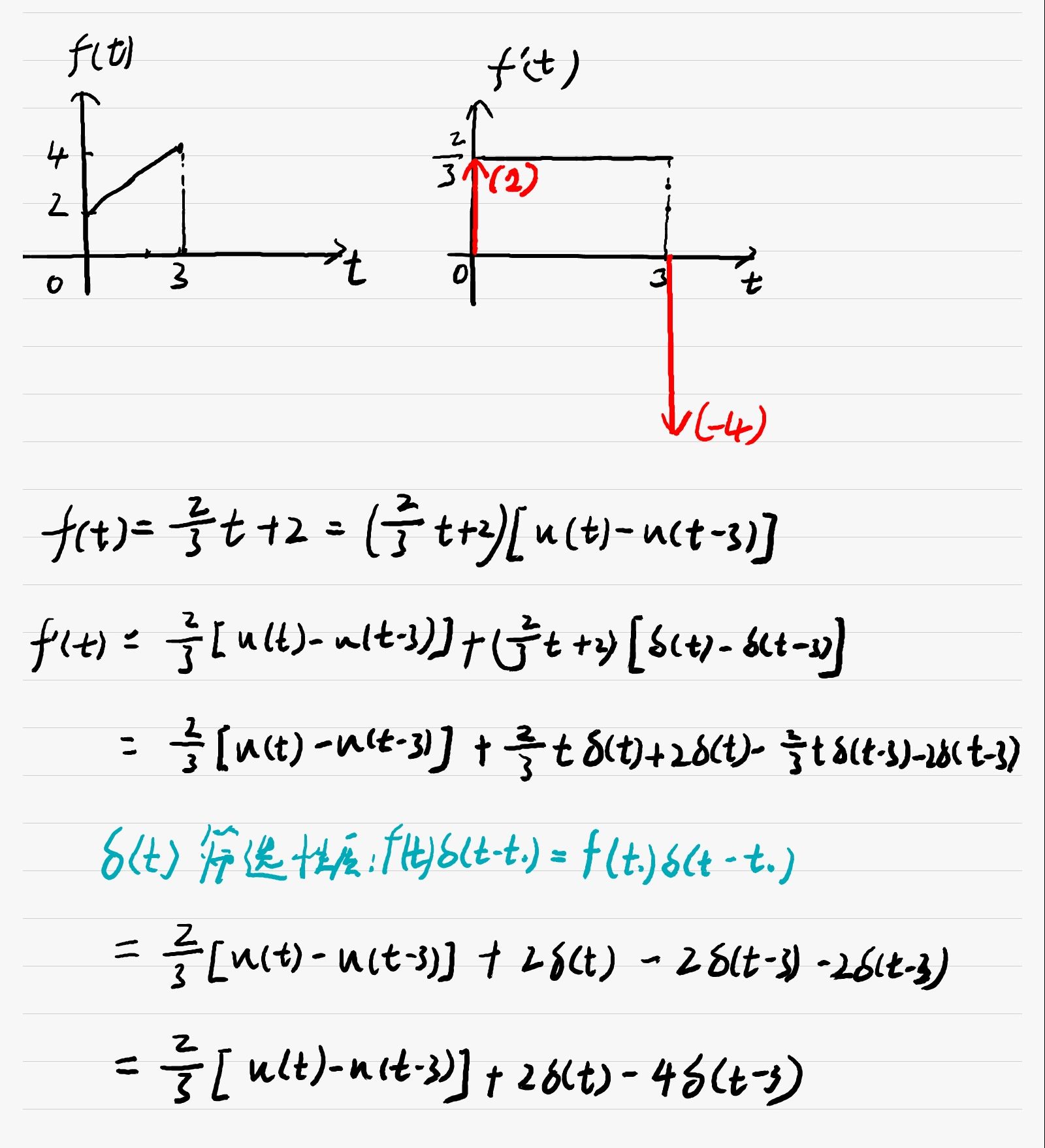
二. 用冲激函数表示跳跃强度
通过冲激信号的强度和方向来表示原函数的增减程度。

更正:斜边信号求导为阶跃信号,冲激信号求导为冲激偶信号;
故倒数第二个图中左侧没有冲激信号,只有右侧有;但最后一个图中,因为起始点是从2开始的,故左右两侧都有冲激信号,强度为跳变点右连续减左连续,左侧=2,强度应再画高一点,超过
2
3
frac{2}{3}
32。
最后
以上就是纯真鱼最近收集整理的关于阶跃信号与冲激信号的全部内容,更多相关阶跃信号与冲激信号内容请搜索靠谱客的其他文章。
发表评论 取消回复