我是
靠谱客的博主
善良小兔子,这篇文章主要介绍
阶跃函数和冲激函数,现在分享给大家,希望可以做个参考。
阶跃函数:
定义:

性质:
(1)表示分段常量信号

(2)表示信号的作用区间

冲激函数:
定义:
单位冲激函数:是奇异函数,它是对强度极大,作用时间
极短的物理量的理想化模型(狄拉克提出)。
理解: 高度无穷大,宽度无穷小,面积为1的对称窄脉冲。
与阶跃信号的关系:

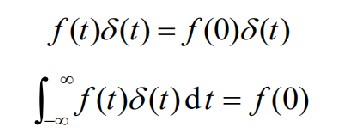
性质:

作用:
冲激函数可以描述间断点的导数。

最后
以上就是善良小兔子最近收集整理的关于阶跃函数和冲激函数的全部内容,更多相关阶跃函数和冲激函数内容请搜索靠谱客的其他文章。
本图文内容来源于网友提供,作为学习参考使用,或来自网络收集整理,版权属于原作者所有。
发表评论 取消回复