- 阶跃函数、冲激函数均属于奇异函数
(奇异函数是指函数本身有不连续点或其导数或积分有不连续点的一类函数)
【 1. 阶跃函数 】
1. 单位阶跃函数
将 yn(t)的 n→ ∞ 得到 ε(t)。
2. 延迟单位阶跃函数
3. 阶跃函数的性质
(1)表示某些信号
(2)表示信号的作用区间
(3)积分
相当于对(-∞,t)区间内ε(t)与直线x=t、x轴包围图形的面积。
【 2. 单位冲激函数 】
对强度极大,作用时间极短的一种物理量的理想化模型。
1. 狄拉克定义
- 函数值只在 t=0 时不为 0 。
- 积分面积为1。
- t=0 时,δ(t)→ ∞ ,为无界函数。
2. 函数序列定义 δ(t)
- 对 γ(t) 求导得到 pn(t) ,将 pn(t) 的 n→ ∞ 得到 δ(t) 。
δ(t) 为高度无穷大,宽度无穷小,面积为1的对称窄脉冲。
3. δ(t) 和 ε(t) 的关系
- 呈导数积分的关系:
4. 引入冲激函数后,间断点的导数也存在
5. 冲激函数的性质
(1)取样性(筛选性)
- 若 f(t) 在 t=0 处连续,且处处有界,则有
- 证明:
- 例:
(2)冲激偶
对冲激函数求导所得。
![]()
- 冲激偶的性质
(3)对δ(t)的尺度变换
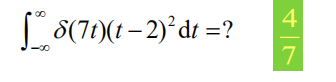
- 例:
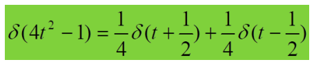
(4)复合函数形式的冲激函数
- 例:
(5)冲激函数性质总结
【 3. 总结 】
| 阶跃函数表示信号作用区间的形式 |
| 公式:阶跃函数的积分性质 |
| 冲激函数t=0时的值 |
| 冲激函数与脉冲的关系 |
| δ(t) 和 ε(t) 的转化关系 |
| 公式:冲激函数取样性(2)、冲激偶(6)、比例性(1)、奇偶性(1)、微积分性质(2) |
最后
以上就是壮观砖头最近收集整理的关于【信号与系统】3. 阶跃函数、冲激函数【 1. 阶跃函数 】【 2. 单位冲激函数 】【 3. 总结 】的全部内容,更多相关【信号与系统】3.内容请搜索靠谱客的其他文章。
本图文内容来源于网友提供,作为学习参考使用,或来自网络收集整理,版权属于原作者所有。



























发表评论 取消回复