声明:未经允许,不得擅自复制、转载。
第一章 信号与系统
1.0. 引言-概念
信号 指消息的表现形式与传送载体, 消息是信号的传送内容。
系统 由若干相互作用和相互依赖的事物组合而成,具有稳定功能的整体。
1.1. 连续时间和离散时间信号
表示 连续时间信号 x(t) --圆括号; 离散时间变量(序列) x[n] --方括号;
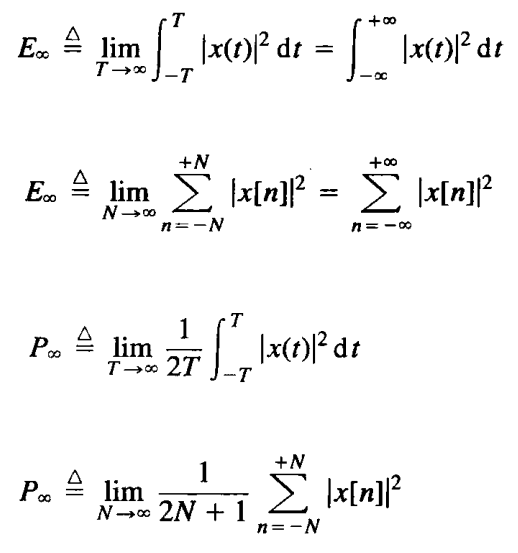
能量与功率 平均功率(连续和离散),用于区分信号类型

能量信号 有限能量+零功率, 例如方波、极限值为0的波形
功率信号 无穷能量+有限功率, 例如正弦波、白噪声
非功非能信号 无穷能量+无穷功率
所有周期信号都是功率信号;所有有限数量的脉冲信号都是能量信号。
1.2. 自变量的变换
平移 f(t) → f(t-τ); 倒置 f(t) → f(-t); 展缩 f(t) → f(at); 周期;奇偶
1.3. 指数信号与正弦信号
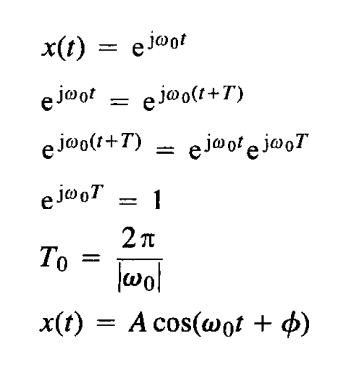
连续时间复指数信号与正弦信号:
实指数信号 指数增长,指数衰减
周期性复指数和正弦信号 基元信号,基波。谐波是频率为基波的整数倍的电量,一般是指对周期性的非正弦电量进行傅里叶级数分解,其余大于基波频率的电流产生的电量。

离散时间复指数信号与正弦信号:

离散时间复指数序列的周期性: w0*N必须是2*Pi的整数倍:
![]()
1.4. 单位冲击与单位阶跃函数
离散时间的单位脉冲(样本)和单位阶跃之间存在着密切的关系。离散时间单位脉冲是离散时间单位阶跃的一次差分。相反地,离散时间单位阶跃是单位样本的求和函数。

连续时间单位冲激是连续时间单位阶跃的一次微分。相反地,连续时间单位阶跃是单位冲激的积分函数。理想状态下的连续时间单位阶跃函数在t=0处,按照严格的数学定义,是不可微的,因此要把它做一下近似处理,将函数值从0到1变化的时间定义为一个较短的时间间隔。

1.5. 连续时间和离散时间系统
连续时间系统: 输入信号和输出信号是连续时间信号。
离散时间系统: 输入信号和输出信号是离散时间信号。

系统的串联或称级联的图示: 方框图

1.6. 基本系统性质
记忆系统: y[n] = Σx[k]; y[n] = x[n-1]
无记忆系统: y[n] = x[n] y(t) = x(t)
可逆性系统: y[n] - y[n-1] = x[n]
与可逆系统: y[n] = 0
因果系统: y[n] = x[n] -x[n+1], 所有的无记忆系统都是因果的。
非因果系统
稳定性
时不变性:输入x(t-T0), 输出y(t-T0)
线性:满足可加性和比例性。
最后
以上就是紧张芒果最近收集整理的关于信号与系统1的全部内容,更多相关信号与系统1内容请搜索靠谱客的其他文章。
发表评论 取消回复