G ( s ) = N ( s ) D ( s ) G(s)=frac{N(s)}{D(s)} G(s)=D(s)N(s) 的串联分解形式
可控标准型

可观测标准型
![]()
实例

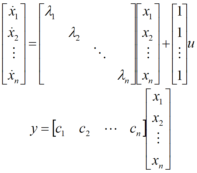
G ( s ) = N ( s ) D ( s ) G(s)=frac{N(s)}{D(s)} G(s)=D(s)N(s) 的并联分解形式
| 状态变量 | 状态空间表达式 |
|---|---|
![]() | ![]() |
![]() | ![]() |
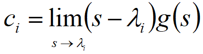
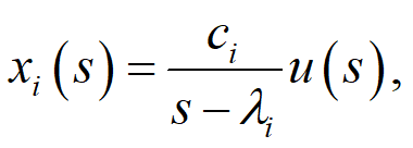
其中:
![]()


最后
以上就是悲凉衬衫最近收集整理的关于传递函数化为状态空间表达式的全部内容,更多相关传递函数化为状态空间表达式内容请搜索靠谱客的其他文章。
本图文内容来源于网友提供,作为学习参考使用,或来自网络收集整理,版权属于原作者所有。




发表评论 取消回复