
来源:声振测试微信公众号(ID:gh_21d5ab08b079),作者:刘广明。
工程中经常涉及到产品阻尼值的测定,粘性阻尼试验确定方法主要包括以下4种,其中前两种最为常用。
测量脉冲激励或初始位移激励曲线的自由衰减法。
测量简谐激励下的放大因子曲线,或者频率响应函数曲线的半功率点法。
阶跃激励响应曲线。
迟滞回线的面积。
自由衰减法,是在脉冲或初始位移激励引发物体自由衰减振动的条件下,通过测试幅值的变化,如下图为自由衰减曲线。

测试步骤:
对试验件进行激励,并记录自由衰减的时间历程曲线;
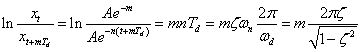
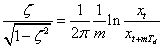
读取两个峰值,前后两个相差m 个周期,一般取m 使得两个峰值相差一半左右,以便提高精度。
将读取的两个峰值相除并计算其自然对数。


其中,n=c/m,c 为粘性阻尼系数。
小阻尼情况下,可按如下公式计算出黏性阻尼比。

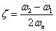
半功率带宽法测试阻尼利用自功率谱(也是频响函数)的共振峰寻求系统的固有频率,再根据谱线求得系统阻尼。

测试步骤:
用共振法获取系统固有频率,及共振幅值。
用正弦扫频在固有频率两边寻找半功率点频率。


按如下公式计算出阻尼比。

注意:这个等式,是前一个等式右边在阻尼比等于零点泰勒展开得到的。

阻尼振动是否具有"周期性"和"等时性"
阻尼模态理论基础之3个典型阻尼模型 结构阻尼比的四种常用测量方法概述
声明:本微信转载文章出于非商业性的教育和科研目的,并不意味着支持其观点或证实其内容的真实性。版权归原作者所有,如转载稿涉及版权等问题,请立即联系我们,我们会予以更改或删除相关文章,保证您的权利!
最后
以上就是舒心白开水最近收集整理的关于阻尼衰减曲线用python_浅谈阻尼:粘性阻尼的测试方法的全部内容,更多相关阻尼衰减曲线用python_浅谈阻尼:粘性阻尼内容请搜索靠谱客的其他文章。
本图文内容来源于网友提供,作为学习参考使用,或来自网络收集整理,版权属于原作者所有。
发表评论 取消回复