1.Gardner 算法简介
Gardner 算法是一种非数据辅助,实现复杂度低,广泛应用于实际工程中的一种定时误差检测算法。Gardner 算法具有如下特点:
1). 工作于2倍采样率,每个码元需要两个采样点;
2). 适用于BPSK(NRZ)/QPSK 基带或通带系统。在通带系统中,Gardner 算法与载波相位无关;
3). 适用于具有40%~100%的额外带宽(相对于奈奎斯特带宽)的信号系统。
2. Gardner 算法的基本原理
应用于QPSK系统的Gardner算法框图如图1所示。对于BPSK系统,Q路输出为0。图示1中的定时误差检测即采用的Gardner 算法。

图示 1
假设符号发送间隔为T,接收端采样时间间隔为T/2,则采样率为fs = 2/T。系统奈奎斯特带宽为B。则有 fs = 4B。 记采样时刻为 (0,1),(2,3)...,(r-1,r-1/2), (r,r+1/2),...,则Gardner 算法鉴相误差输出为:
(1)
其中yi表示图示1中的I路输出,yq表示Q路输出。r表示第r个接收码元,(r-1, r -1/2) 表示一个码元的两个连续采样点。对于BPSK系统,yq输出为0。
实现电路图如图2所示:

图示 2
2.1 从公式(1)对Gardner算法的直观理解

图示 3
如图3所示,在码元类型发生变化时(比如从1 到 -1),如果采样时间没有偏差,中间采样点的值y(r-1/2),在时间平均上应该为0。若不为0,说明有采样偏差,其绝对值大小 |y(r-1/2)| 提供了采样偏差的大小,其正负符号 sign(y(r-1/2)) 只能提供一半的采样超前或者滞后的方位信息,无法区分图是3中(b或c)中码元由1到-1转变或者-1到1的转变。而y(r) - y(r-1)的差值提供了另一半的方位信息。两者结合就能区分图示3中(b)和(c)所示的4种情况。在实际工程中,也常用sign(y(r) - y(r-1))替代y(r) - y(r-1)。好处在于节省了乘法运算和规避了噪声对y(r) - y(r-1)的影响。
2.2 从Gardner鉴相器的S曲线理解Gardner算法
考虑 NRZ 基带系统,假设图示1中的接收信号为:
, (2)
其中 表示NRZ序列,g(t)表示从发送到接收的系统时域冲激响应,T表示单个码元持续时间。
假设采样时刻为 表示基带采样时刻,g(t) 的频域响应为G(f)。Gardner 推导出公式(1)中,鉴相误差u(r)期望的另外一种数学表达式(即Gardner鉴相器的S曲线表达式):
(3)
上式中,Gardner 假设两倍奈奎斯特以外的频带为0。从(3)式可以看出Gardner鉴相器的S曲线与采样时刻的关系为正弦曲线。在码元持续时间T固定的情况下,鉴相灵敏度取决于(3)式中的积分式,确切的说,取决于系统响应G(f)。如下图所示:

图示 4
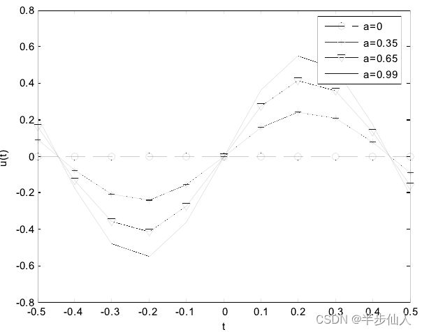
仅当G(f) 和 G(1/T - f) 有交叠的时候,G(f) * G(1/T - f) 才不为0。根据采样定理,我们知道,当以1/T的采样率进行采样时,奈奎斯特以外的频带必然会发生混叠,即能保证G(f) 和 G(1/T - f) 有交叠。从图中我们可以看出,系统频域响应G(f) 带外频谱越大,G(f) * G(1/T - f)越大,鉴相灵敏度越高。假设,G(f) 为升余弦滚降成型的频谱函数,则不同滚降系数a下的Gardner算法 S 曲线如下图所示:

图示 5
当a = 0时,系统响应为理想低通响应,此时鉴相器无法提取出定时误差;
当 a = 0.99时,G(f)带外频谱很大,鉴相器相对灵敏。
通常,Gardner算法适用于具有40%~100%的额外带宽的系统。
【参考文献】
[1] M.Gardner. A BPSK/QPSK timing-error detector for sampled receivers. IEEE Trans. Comm..
[2] 崔丽娜. 全数字接收机中的位同步技术研究[D]. 重庆大学.
思考题:
(1) 为什么Gardner算法和载波相位无关?
(2) 图示4中G(f) 的交叠的本质是啥?为什么它会影响到Gardner算法S曲线的灵敏度?
(3) Gardner算法 是否适用于更高阶的调制系统?
最后
以上就是冷酷犀牛最近收集整理的关于数字定时误差检测算法系列之 ———时域Gardner算法的全部内容,更多相关数字定时误差检测算法系列之内容请搜索靠谱客的其他文章。
发表评论 取消回复