ps:本博客内容根据唐宇迪的的机器学习经典算法 学习视频复制总结而来
http://www.abcplus.com.cn/course/83/tasks
逻辑回归
问题描述:我们将建立一个逻辑回归模型来预测一个学生是否被大学录取。假设你是一个大学系的管理员,你想根据两次考试的结果来决定每个申请人的录取机会。你有以前的申请人的历史数据,你可以用它作为逻辑回归的训练集。对于每一个培训例子,你有两个考试的申请人的分数和录取决定。为了做到这一点,我们将建立一个分类模型,根据考试成绩估计入学概率。
数据下载:https://pan.baidu.com/s/1pNbtrjP
数据大概长这个样

1、查看数据基本属性

2、画图观察
plot结构剖析

上图来自https://www.jianshu.com/p/b4b5dd20e48a

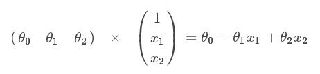
3、建立分类器(求解出三个参数 θ0、θ1、θ2)
设定阈值,根据阈值判断录取结果(此处设置为50%,≥50%即判断录取)
要完成的模块:
- sigmoid : 映射到概率的函数
-
-
model: 返回预测结果值 -
cost: 根据参数计算损失 -
gradient: 计算每个参数的梯度方向 -
descent: 进行参数更新 -
accuracy: 计算精度
-







4、损失函数


5、计算梯度


6、梯度下降(比较三种梯度下降方法)



下面这段代码仅仅是将过程可视化

7、不同的停止策略
①设定迭代次数

②根据损失值停止
上面的迭代次数过少,修改阈值为1E-6,迭代次数大概需要110000次 。会发现值再次降低

这种策略虽然准确度较高,但是迭代次数多,计算量大
③、根据梯度变化停止
设定阈值 0.05,差不多需要40 000次迭代

8、对比不同的梯度下降方法
①Stochastic descent 随机梯度下降

相当不稳定,再来试试把学习率调小一些

速度快,效果和稳定性都差,需要很小的学习率
②Mini-batch descent 小批量梯度下降

标准化/归一化
浮动仍然比较大,我们来尝试下对数据进行标准化 将数据按其属性(按列进行)减去其均值,然后除以其方差。最后得到的结果是,对每个属性/每列来说所有数据都聚集在0附近,方差值为1。

它好多了!原始数据,只能达到达到0.61,而我们得到了0.38个在这里! 所以对数据做预处理是非常重要的。

更多的迭代次数会使得损失下降的更多!

随机梯度下降更快,但是我们需要迭代的次数也需要更多,所以还是用batch的比较合适!

9、精度

转载于:https://www.cnblogs.com/little-monkey/p/8345828.html
最后
以上就是清脆电源最近收集整理的关于[Python]数据挖掘(1)、梯度下降求解逻辑回归——考核成绩分类ps:本博客内容根据唐宇迪的的机器学习经典算法 学习视频复制总结而来http://www.abcplus.com.cn/course/83/tasks逻辑回归的全部内容,更多相关[Python]数据挖掘(1)、梯度下降求解逻辑回归——考核成绩分类ps:本博客内容根据唐宇迪的的机器学习经典算法内容请搜索靠谱客的其他文章。
发表评论 取消回复