Python求平面内点到直线距离的实现
发布时间:2020-09-30 01:35:08
来源:脚本之家
阅读:78
作者:Golden.
近期遇到个问题,需要计算平面内点到直线的距离,发现数学知识都还给老师了,度娘后找到计算方法,特此记录。
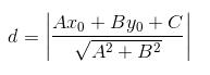
点到直线的计算公式:

通过公式推导,得到信息:
A:直线斜率
B:固定值-1
C:直线截距b
转换为Python代码实现为:
def get_point_line_distance(self, point, line):
point_x = point[0]
point_y = point[1]
line_s_x = line[0][0]
line_s_y = line[0][1]
line_e_x = line[1][0]
line_e_y = line[1][1]
#若直线与y轴平行,则距离为点的x坐标与直线上任意一点的x坐标差值的绝对值
if line_e_x - line_s_x == 0:
return math.fabs(point_x - line_s_x)
#若直线与x轴平行,则距离为点的y坐标与直线上任意一点的y坐标差值的绝对值
if line_e_y - line_s_y == 0:
return math.fabs(point_y - line_s_y)
#斜率
k = (line_e_y - line_s_y) / (line_e_x - line_s_x)
#截距
b = line_s_y - k * line_s_x
#带入公式得到距离dis
dis = math.fabs(k * point_x - point_y + b) / math.pow(k * k + 1, 0.5)
return dis
以上这篇Python求平面内点到直线距离的实现就是小编分享给大家的全部内容了,希望能给大家一个参考,也希望大家多多支持亿速云。
最后
以上就是激昂犀牛最近收集整理的关于python计算点到直线的距离_Python求平面内点到直线距离的实现的全部内容,更多相关python计算点到直线内容请搜索靠谱客的其他文章。
发表评论 取消回复