惯性矩
惯性矩包括质量惯性矩(转动惯量)与面积惯性矩
质量惯性矩:极转动惯量、直径转动惯量
面积惯性矩:极惯性矩、截面惯性矩
极:对原点的二次矩
直径、截面:对坐标轴的二次矩
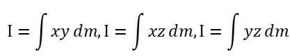
一次矩、二次矩、交叉矩
静矩:一次矩
惯性矩:二次矩
惯性积:交叉矩(我给他起的名字)
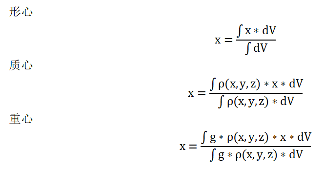
质心、重心、形心
因为实际物体都是有体积的,所以我给出了三维物体的形心、质心、重心的一个坐标的计算公式

主惯性轴

三个惯性积都为0,那么这个坐标系的三个轴就称为主惯性轴。对于面积的惯性积一个道理。
主惯性矩:对主惯性轴的惯性矩。
形心主惯性轴
主惯性轴的原点为形心,则该坐标系的三个轴就称为形心主惯性轴。
形心主惯性矩:对形心主惯性轴的惯性矩。
平行移轴公式、转轴公式
转轴公式:坐标系绕原点转动后,原坐标系下的矩与新坐标系下的矩之间的变换
平行移轴公式:坐标系平行移动后,原坐标系下的矩与新坐标系下的矩之间的变换
如果又有平移也有转动,那就是这两种公式的合成。
最后
以上就是和谐期待最近收集整理的关于惯性矩惯性矩一次矩、二次矩、交叉矩质心、重心、形心主惯性轴形心主惯性轴平行移轴公式、转轴公式的全部内容,更多相关惯性矩惯性矩一次矩、二次矩、交叉矩质心、重心、形心主惯性轴形心主惯性轴平行移轴公式、转轴公式内容请搜索靠谱客的其他文章。
本图文内容来源于网友提供,作为学习参考使用,或来自网络收集整理,版权属于原作者所有。
发表评论 取消回复