张量乘积的三种形式

直积或张量积. A.kron(B)
本文主要分为三个部分:
1、矩阵乘积 (matmul product)
2 、哈达马积 (hadamard product)
3 、克罗内克积 (Kronecker product)
----------------------------------------------------------------------------------------------------------------------------------------------------------------------------------------正文:
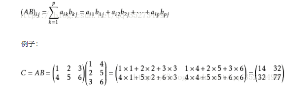
1、矩阵乘积 (matmul product)(内积、点积)----------A.mm(B)
设A为mp的矩阵,B为pn 的矩阵,那么称m*n的矩阵C为矩阵A与B的乘积,
记作 C = AB
其中矩阵C中的第 行第 列元素可以表示为:



2 、哈达马积 (hadamard product)(两个张量的维度要一样)(对应点相乘-----点乘)----------A.mul(B)
mn矩阵 A 与mn矩阵 B 的Hadamard积记为A*B.
其元素定义为两个矩阵对应元素的乘积:




3 、克罗内克积 (Kronecker product)----------A.kron(B)
Kronecker积是两个任意大小的矩阵间的运算,表示为这里写图片描述,又称为直积或张量积.


最后
以上就是大力微笑最近收集整理的关于张量乘积的三种形式的全部内容,更多相关张量乘积内容请搜索靠谱客的其他文章。
本图文内容来源于网友提供,作为学习参考使用,或来自网络收集整理,版权属于原作者所有。
发表评论 取消回复