线性回归-最小二乘法
1、梯度下降法
前文在求解损失函数的最小值的时候,使用到了最小二乘法,但是有一定的缺陷,当数据量大的时候,计算量就变大了,效率就体现不出来了。梯度下降法是求解目标函数最优解的一个比较通用的方法。
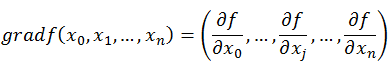
梯度: 在微积分里面,对多元函数的参数求∂偏导数,把求得的各个参数的偏导数以向量的形式写出来,就是梯度。沿着梯度向量的方向更易找到函数最大值,沿着梯度向量相反的方向更易找到最小值。

2、一元线性回归中的梯度下降
可以使用:
x
=
x
−
η
d
f
d
x
x=x-etafrac{df}{dx}
x=x−ηdxdf ,来不断寻求最小值。其中
η
eta
η为学习率(learning rate)。学习率的取值是很重要的;它是梯度下降法的一个超参数;学习率的取值影响获得最优解的速度;如果取值不合适(取值过大),甚至无法得到最优解。梯度上升可以使用:
x
=
x
+
η
d
f
d
x
x=x+etafrac{df}{dx}
x=x+ηdxdf,来寻找最大值。
学习率
η
eta
η的作用效果:
-
η eta η太小,减慢收敛学习的速度,当问题规模大的时候,效率太低。

-
η eta η太大,甚至导致不收敛

有时候存在多个极值的时候,需要随机初始化点多次运行,来寻找最值。

3、多元线性回归中的梯度下降,批量梯度下降法(Batch Gradient Descent, BGD)
损失函数:
J
=
∑
i
=
1
m
(
y
i
−
y
^
i
)
2
J=sum_{i=1}^m(y^i-hat{y}^i)^2
J=∑i=1m(yi−y^i)2

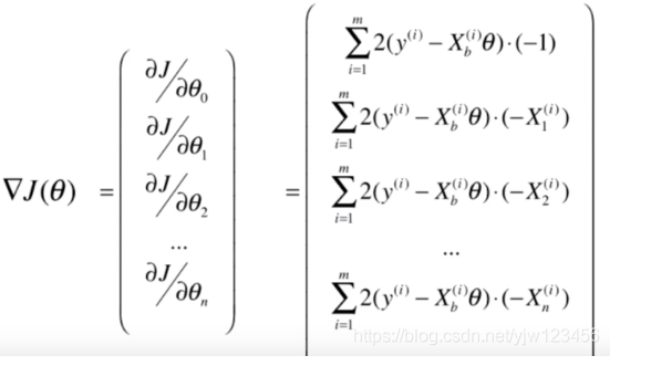
此时梯度:
▽
J
=
(
∂
J
∂
θ
0
,
∂
J
∂
θ
1
,
∂
J
∂
θ
2
,
.
.
.
,
∂
J
∂
θ
n
)
bigtriangledown_{J}=(frac{partial J}{partialtheta_0},frac{partial J}{partialtheta_1},frac{partial J}{partialtheta_2},...,frac{partial J}{partialtheta_n})
▽J=(∂θ0∂J,∂θ1∂J,∂θ2∂J,...,∂θn∂J),表示J增大最快的方向。下图是一个具有两个特征的梯度下降可视化。

要使损失函数
J
=
∑
i
=
1
m
(
y
i
−
y
^
i
)
2
J=sum_{i=1}^m(y^i-hat{y}^i)^2
J=∑i=1m(yi−y^i)2尽可能小,这里
y
^
i
=
θ
0
+
θ
1
X
1
i
+
θ
1
X
1
i
+
θ
2
X
2
i
.
.
.
+
θ
n
X
n
i
hat{y}^i=theta_0+theta_1{X_1}^i+theta_1{X_1}^i+theta_2{X_2}^i...+theta_n{X_n}^i
y^i=θ0+θ1X1i+θ1X1i+θ2X2i...+θnXni ,
使
∑
i
=
1
m
(
y
i
−
θ
0
+
θ
1
X
1
i
+
θ
1
X
1
i
+
θ
2
X
2
i
.
.
.
+
θ
n
X
n
i
)
2
sum_{i=1}^m{({y}^i-theta_0+theta_1{X_1}^i+theta_1{X_1}^i+theta_2{X_2}^i...+theta_n{X_n}^i)}^2
∑i=1m(yi−θ0+θ1X1i+θ1X1i+θ2X2i...+θnXni)2
尽可能小。
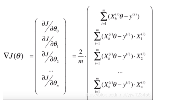
此时梯度就是使J对
θ
theta
θ的每个维度求偏导,可以写成:






这里还注意到,这里有个求和符号,意味着梯度的大小是与样本数量m 有关的,样本数量越大,梯度也就越大。这样显然是不合理的,因此,我们让整个梯度值都除以一个m:

这样相当于把我们的损失函数前面也乘了一个
1
m
frac{1}{m}
m1:
J
(
θ
)
=
1
m
∑
i
=
1
m
(
y
i
−
y
^
i
)
2
J(theta)=frac{1}{m}sum_{i=1}^m(y^i-hat{y}^i)^2
J(θ)=m1∑i=1m(yi−y^i)2
或者:
J
(
θ
)
=
1
2
m
∑
i
=
1
m
(
y
i
−
y
^
i
)
2
J(theta)=frac{1}{2m}sum_{i=1}^m(y^i-hat{y}^i)^2
J(θ)=2m1∑i=1m(yi−y^i)2
有了损失函数和梯度,传入一个起始的
θ
theta
θ和学习率
η
eta
η,就可以自动寻找损失函数的最值了。
{
J
(
θ
)
=
1
2
m
∑
i
=
1
m
(
y
i
−
y
^
i
)
2
θ
=
θ
−
η
▽
J
(
θ
)
▽
J
(
θ
)
=
(
∂
J
∂
θ
0
,
∂
J
∂
θ
1
,
∂
J
∂
θ
2
,
.
.
.
,
∂
J
∂
θ
n
)
=
X
b
T
(
X
b
θ
−
y
)
y
^
=
X
b
θ
begin{cases}J(theta)=frac{1}{2m}sum_{i=1}^m(y^i-hat{y}^i)^2\theta=theta-etabigtriangledown_{J(theta)}\bigtriangledown_{J(theta)}=(frac{partial J}{partialtheta_0},frac{partial J}{partialtheta_1},frac{partial J}{partialtheta_2},...,frac{partial J}{partialtheta_n})={X_b}^T(X_btheta-y)\hat{y}=X_bthetaend{cases}
⎩⎪⎪⎪⎨⎪⎪⎪⎧J(θ)=2m1∑i=1m(yi−y^i)2θ=θ−η▽J(θ)▽J(θ)=(∂θ0∂J,∂θ1∂J,∂θ2∂J,...,∂θn∂J)=XbT(Xbθ−y)y^=Xbθ
X
b
X_b
Xb上边已经给出。
为了防止梯度太大,最好先将X进行归一化(最值归一化、均方误差归一化)处理。否则,有可能找不到损失函数的最值。这里对比一下最小二乘法是不需要数据归一化的,因为它是用方程的方法来计算的。scikit-Learn
# 使用scikit-learn 封装好的函数,进行数据的归一化。
from sklearn.preprocessing import StandardScaler
st = StandardScaler()
st.fit(X_train)
X_train_standard = st.transform(X_train)
4、随机梯度下降(Stochastic Gradient Descent, SGD)
之前的批量梯度下降法是对所有的样本求梯度,当数据规模很大的时候,整个计算过程是很耗时的。有一种办法,每次只对一个样本求梯度,或者每次只对若干个样本求梯度,这种方法就叫做随机梯度下降法 。

随机梯度下降法无法保证得到的方向一定是损失函数减小的方向,更不能保证是减小最快的方向,所以我们的搜索路径形成了这样的一种趋势。也就是它具有随机的特点,但是实验结论告诉我们,它最终依然可能到达最小值的附近。

在随机梯度下降法中,学习率的取值很重要。如果我们已经来到了最小值中心的位置了,但是随机的过程不够好,如果学习率是一个固定值的话,有可能会跳出最小值的区域。同时为了避免刚开始的时候梯度下降速度太快,我们通常这样计算学习率:
η
=
a
i
i
t
e
r
s
+
b
eta=frac{a}{i_{iters}+b}
η=iiters+ba.
a、b为超参数,通常取a=5,b=50。
5、所有代码实现:
import numpy as np
from sklearn.metrics import r2_score
class LinearRegression:
def __init(self):
self.coef_ = None # 系数
self.interception_ = None # 截距
self._theta = None
def fit_normal(self, X_train, y_train):
X_b = np.hstack([np.ones((len(X_train), 1)), X_train]) # 构造X_b X_train加上 虚构的都等于1的列
self._theta = np.linalg.inv(X_b.T.dot(X_b)).dot(X_b.T).dot(y_train) # 通过正规方程解求得theta
# 分开保存
self.interception_ = self._theta[0]
self.coef_ = self._theta[1:]
return self
def fit_sgd(self, X_train, y_train, n_iters=5, t0=5, t1=50):
def dJ_sgd(theta, X_b_i, y_i):
return X_b_i * (X_b_i.dot(theta) - y_i) * 2.
def sgd(X_b, y, initial_theta, n_iters, t0, t1):
# 学习率函数
def learning_rate(t):
return t0 / (t + t1)
theta = initial_theta
m = len(X_b) #整个样本数
for cur_iter in range(n_iters): #外层循环代表要看几轮
indexes = np.random.permutation(m) #对索引进行洗牌操作
for i,rand_i in enumerate(indexes): # i 代表这一轮中第几次遍历, rand_i是随机索引
gradient = dJ_sgd(theta, X_b[rand_i], y[rand_i])
theta = theta - learning_rate(cur_iter * m + i) * gradient # 每次的随机率都是递减的,cur_iter从0开始,现在要这么计算了
return theta
X_b = np.hstack([np.ones((len(X_train), 1)), X_train])
initial_theta = np.random.randn(X_b.shape[1])
self._theta = sgd(X_b, y_train, initial_theta, n_iters, t0, t1)
self.interception_ = self._theta[0]
self.coef_ = self._theta[1:]
return self
def fit_gd(self, X_train, y_train, eta=0.01, n_iters=1e4):
'''
使用梯度下降法进行训练
'''
def J(theta, X_b, y):
try:
return np.sum((y - X_b.dot(theta)) ** 2) / len(y)
except:
return float('inf')
def dJ(theta, X_b, y):
return X_b.T.dot(X_b.dot(theta) - y) * 2.0 / len(y)
def gradient_descent(X_b, y, initial_theta, eta, epsilon=1e-8, n_iters=1e4):
theta = initial_theta
i_iter = 0
while i_iter < n_iters: # 限定迭代次数
gradient = dJ(theta, X_b, y) # 先求出梯度
last_theta = theta # 保存之前的theta
theta = theta - eta * gradient # 向梯度反方向移动 eta * gradient 这么多
if (abs(J(theta, X_b, y) - J(last_theta, X_b, y)) < epsilon):
break
i_iter += 1
return theta
X_b = np.hstack([np.ones((len(X_train), 1)), X_train]) # 先构造我们的X_b
initial_theta = np.zeros(X_b.shape[1]) # theta是个向量
self._theta = gradient_descent(X_b, y_train, initial_theta, eta, n_iters=n_iters)
# 分开保存
self.interception_ = self._theta[0]
self.coef_ = self._theta[1:]
return self
def predict(self, X_predict):
X_b = np.hstack([np.ones((len(X_predict), 1)), X_predict])
return X_b.dot(self._theta)
def score(self, X_test, y_test):
y_predict = self.predict(X_test)
return r2_score(y_test, y_predict)
def __repr__(self):
return "LinearRegression(coef_=%s,interception_=%s)" % (self.coef_, self.interception_)
来源:机器学习入门
最后
以上就是个性手机最近收集整理的关于线性回归-梯度下降法的全部内容,更多相关线性回归-梯度下降法内容请搜索靠谱客的其他文章。
发表评论 取消回复