单级放大器(总结)
一、共源极
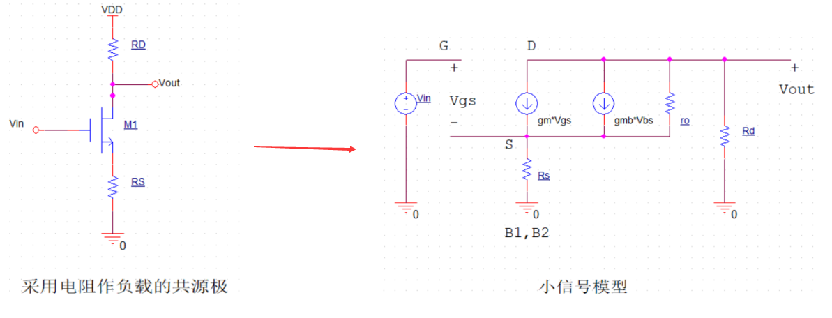
1、采用电阻作负载的共源极

电路分析:
先做出小信号等效电路图,然后对其进行分析:

2、采用二极管连接型器件作为负载的共源极
PMOS连接成的二极管,无衬底偏置

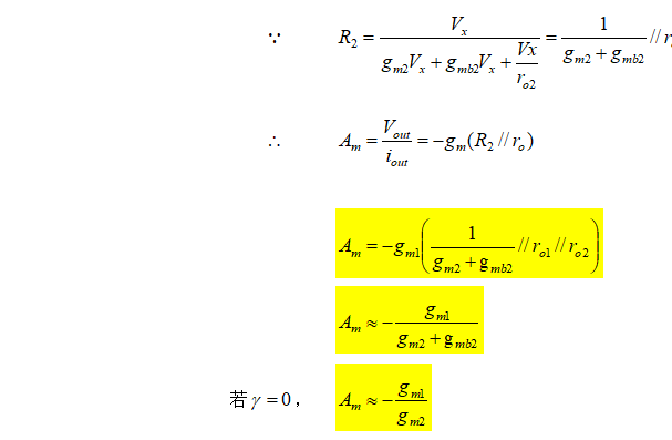
由电路图,M2作为M1的负载,然后求出等效阻抗,看成采用电阻作负载的共源极,然后很容易得到其对应的增益Am

NMOS连接成的二极管,有衬底偏置

同理求出等效阻抗,M2作为M1的负载,对应的增益Am

3、采用电流源作负载的共源极

由电路图,在交流小信号模型下,经过电路化简,很容易得到最后的电路形式,仍然可以归结为采用电阻作负载的共源极接法(或者直接求出等效阻抗)

4、有源负载的共源极

由电路图,得到交流小信号电路图,经过电路图化简,得到类似电阻作负载的共源极接法的电路图形式,对应增益Am如下:

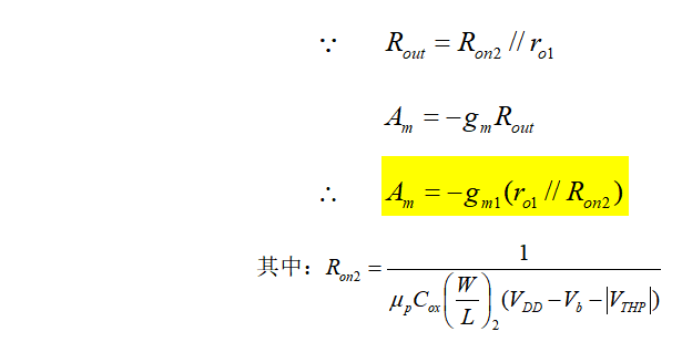
5、工作在线性区的mos为负载的共源极

由电路图,得到交流小信号电路图,经过电路图化简,仍然可以得到类似电阻作负载的共源极接法的电路图形式,对应增益Am如下:

下面的内容会用到辅助定理,公式如下:

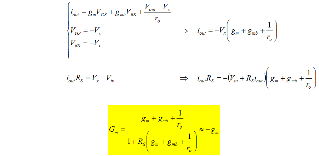
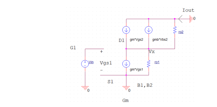
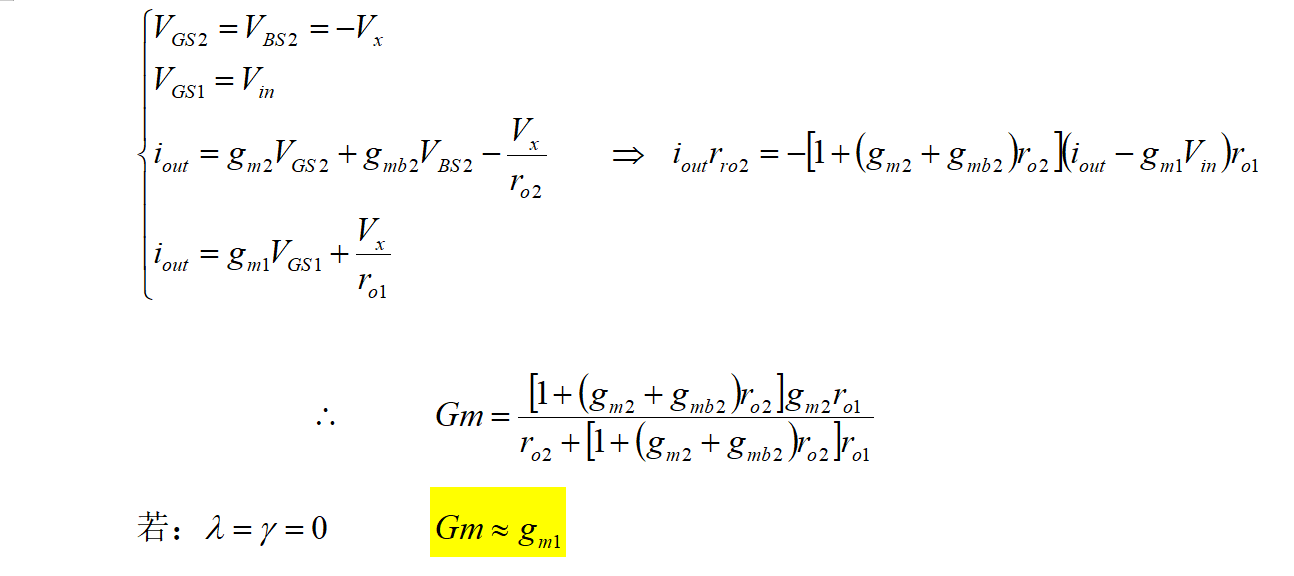
6、带源极负反馈的共源极

求解Gm:输出短接,变为GND,因此RD被短路,如图:


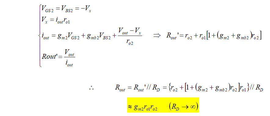
求解Rout:输入短接,变为GND,如图:(先求
R
d
R_{d}
Rd左侧的等效电阻
R
o
u
t
’
R_{out}’
Rout’然后再和
R
d
R_{d}
Rd并联即可)


由辅助定理,得到带源极负反馈的共源极增益


二、源极跟随器
为了简化计算,忽略沟道调制效应



三、共栅极

求解Gm:输出短接,变为GND,因此RD被短路,如图:


求解Rout:输入短接,变为GND,如图:

形式类似带源极负反馈的共源极接法

由辅助定理 得到电压增益Am:



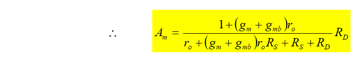
三、共源共栅极

分析:
求解Gm:输出短接,如图:


求解Rout:输入短接,如图:


由辅助定理:

四、采用PMOS共源共栅负载的NMOS共源共栅放大器


附表格


时间原因,可能还存在一些错误,欢迎交流探讨
最后
以上就是洁净溪流最近收集整理的关于【笔记:模拟MOS集成电路】单级放大器(非高频)的全部内容,更多相关【笔记内容请搜索靠谱客的其他文章。
发表评论 取消回复