信号与系统笔记
- 1.1序言
- 一、连续信号和离散信号
- 连续时间信号
- 离散时间信号
- 二、周期信号与非周期信号
- 三、实信号与复信号
- 四、能量信号与功率信号
- 总结
1.1序言
现在,信号与系统的概念已经深入到人们的生活和社会的各个方面。手机,电视机,通信网,计算机网等已成为人们常用的工具和设备,这些工具和设备都可以看成系统,而各种设备传送的语音、音乐、图像文字等都可以看成信号。
信号是信息的一种表示方式,通过信号传递信息。

信号常可表示为时间函数(或序列),函数的图像称为函数的波形
确定信号:如果信号可以用一个确定的时间函数(或序列)表示,就称其为确定信号(或规则信号)。
一、连续信号和离散信号
根据信号定义域的特点可分为连续时间信号和离散时间信号。
连续时间信号
在连续时间范围内(-∞<t<+∞)有定义的信号称为连续时间信号,简称为连续信号。
“连续”指的是定义域—时间(或其他量)是连续的。至于信号的值域可以是连续的,也可以不是。
例:连续时间信号

离散时间信号
仅在一些离散的瞬间才有定义的信号,简称离散信号
“离散”也指的是信号的定义域。
时刻之间的间隔可以是常数,也可以随k变化,若时刻之间的间隔为常数T,则离散信号只在均匀离散时刻t=…,-T,–0,T,2T…有定义,它可以表示为f(kT)。为了简便,不妨把f(kT)简记为f(k),这样的离散信号常称为序列。
序列f(k)的数学表达式可以写成闭合形式,也可以逐个联储,通常把对应某序号m的序列值称为第m个样点的“样值”。

如上所述,信号的自变量的取值可以是连续的,可以是离散的,信号的幅值(函数值或序列值)也可以是连续的或离散的。
时间和幅值均为连续的信号称为模拟信号。
时间和幅值均为离散的信号称为数字信号。
二、周期信号与非周期信号
当有多个信号求周期时,传统的逐个求周期然后找最小公倍数就会比较麻烦,下面是一种好用的方法

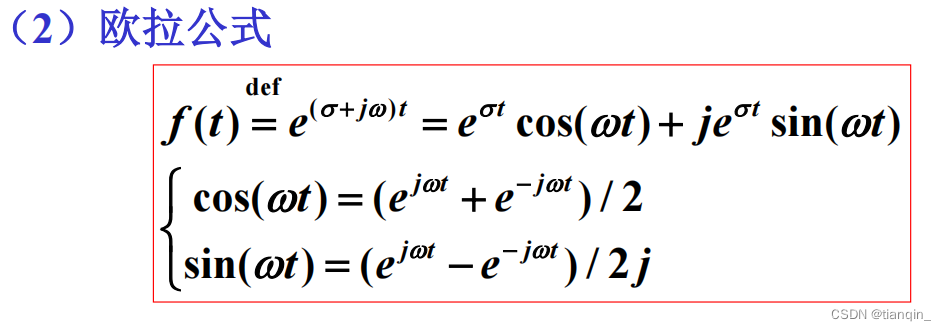
三、实信号与复信号
实信号:物理可实现的信号常常是时间t(或k)的实函数(或序列)值为实数
复信号:函数(或序列)值为复数的信号。


四、能量信号与功率信号
为了知道信号能量或功率的特性,常常研究信号(电压或电流)在单位电阻的能量或功率,亦称为归一化能量或功率。


一些需要注意的点

离散信号的能量信号与功率信号

总结
作为复习的第一课,重复的学习让我还是让我收获颇丰。
最后
以上就是迷你跳跳糖最近收集整理的关于信号与系统笔记1.1和1.2节1.1序言一、连续信号和离散信号二、周期信号与非周期信号三、实信号与复信号四、能量信号与功率信号总结的全部内容,更多相关信号与系统笔记1内容请搜索靠谱客的其他文章。



发表评论 取消回复