
◎ 本文下载连接
- 信号与系统 2022 春季学期第一次作业 : https://zhuoqing.blog.csdn.net/article/details/123113465
◎ 作业参考答案: 信号与系统分析2022春季作业-参考答案:第一次作业 : https://blog.csdn.net/zhuoqingjoking97298/article/details/124272082
§01 作业内容
作业包含有六道大题。请注意,每道题目中包含有必做题和选做题。必做题要求包含在提交的作业中;选做题仅用于思考和练习。
1.1 绘制信号波形
1.1.1 题目要求
请根据下面信号的函数表达式,绘制出信号的波形。请注意:
- 函数变量为 t t t 的信号为 连续时间信号; ;
- 函数变量为 n n n 的信号为 离散时间信号 ;
绘制波形可以手工绘制,也可以通过MATLAB ,Python以及其他编程绘图语言绘制。
1.1.2 题目内容
(1)必做题
Ⅰ.带有直流分量正弦振荡信号

Ⅱ.幅度调制正弦振荡信号

Ⅲ.双边指数衰减振荡信号

Ⅳ.复合信号

Ⅴ.有限长指数信号

Ⅵ.指数序列信号

Ⅶ.左边指数序列信号

提示:请注意这是一个左边指数序列信号。
(2)选做题
Ⅰ.sinc函数连续乘积信号

其中: sin c ( t ) = sin ( t ) / t sin cleft( t right) = sin left( t right)/t sinc(t)=sin(t)/t 。
关于为什么研究多个sinc函数相乘,大家可以参见博文: 数学中的虚幻模式 。这是一个复杂的波形,建议使用计算机辅助绘制该函数波形。
Ⅱ.振荡序列信号

注意:序列函数中的自变量是 n n n 的平方。请观察序列,并判断该序列是否为周期序列信号?
Ⅲ.非周期振荡信号

这个函数具有无穷多个极大值,极小值。在博文 傅里叶变换中的狄利克雷条件 分析了它的傅里叶变换的特点。
Ⅳ.波形发散的周期信号

提示:这个周期信号将来会在傅里叶变换的狄利克雷条件中分析。在博文 傅里叶变换中的狄利克雷条件 分析了它的傅里叶变换的特点。也请大家思考一下,这个函数在单个周期内:
- 面积是否有限?
- 能量是否有限?
◎ 作业参考答案: 第一小题参考答案
1.2 写出信号函数表达式
1.2.1 题目要求
根据下面信号的波形,写出对应的函数表达式。注意,同样一个波形可能会存在多种等效的函数表达式。
1.2.2 题目内容
(1)必做题
Ⅰ.对称三角波信号

▲ 图1.2.1 对称三角波信号
Ⅱ.分段跃变直流信号

▲ 图1.2.2 分段直流跃变信号
Ⅲ.升余弦脉冲信号

▲ 图1.2.3 升余弦脉冲信号
我不能直接给你写出升余弦脉冲信号表达式,否则就不用你来完成这个题目里。所谓升余弦脉冲信号,就是把余弦振荡信号叠加一个直流信号,使得它整体网上平移,最低点为 0。然后再截取其中 一个周期内的波形作为脉冲信号的波形。
Ⅳ.单边正弦信号

▲ 图1.2.4 单边正弦信号
注意:在 t < 0 t < 0 t<0 时,对应的 f ( t ) = 0 fleft( t right) = 0 f(t)=0 。信号波形往右无线延拓。
Ⅴ.单边衰减振荡信号

▲ 图1.2.5 单边指数衰减振荡信号
(2)选做题
Ⅰ.周期方波信号

▲ 图1.2.6 周期方波信号
提示:参考前面绘制信号波形中的“复合函数”,以及应用 u ( t ) uleft( t right) u(t) 的特点。
Ⅱ.阶跃衰减信号
下面是一个阶跃衰减信号,它:
- 只在 ( 0 , 1 ) left( {0,1} right) (0,1) 之间取值;
- 起始值 f ( 0 ) = 1 fleft( 0 right) = 1 f(0)=1 ,终值 f ( t ) = 0 , t ≥ 1 fleft( t right) = 0,t ge 1 f(t)=0,t≥1 ;
- 从0到1过程中,每前进剩余距离一半幅值就降低一半。

▲ 图1.2.7 阶跃衰减信号
这个函数将会在第三章,在分析傅里叶变换的狄利克雷条件时被被提到。在。在博文 傅里叶变换中的狄利克雷条件 分析了它的傅里叶变换的特点。
◎ 作业参考答案: 第二小题参考答案
1.3 判断信号的周期性
1.3.1 题目要求
判断下列各信号是否为周期信号?如果是周期信号求出其基本周期。
1.3.2 题目内容
(1)必做题
Ⅰ.正弦信号叠加

Ⅱ.复指数调制信号

Ⅲ.方波信号

Ⅳ.正弦信号的三次方

Ⅴ.自变量三次方的正弦振荡信号

Ⅵ.自变量的三次方正弦序列信号

请对比离散时间信号与前面连续时间信号的异同
(2)选做题
Ⅰ.线性信号与振荡信号叠加

Ⅱ.判断题
已知两个序列之间满足 y [ n ] = x [ 2 n ] yleft[ n right] = xleft[ {2n} right] y[n]=x[2n] 。请问:
- 如果 y [ n ] yleft[ n right] y[n] 是周期信号,那么 x [ n ] xleft[ n right] x[n] 是否也是周期信号?
- 如果 x [ n ] xleft[ n right] x[n] 是周期信号,那么 y [ n ] yleft[ n right] y[n] 是否 也是周期信号?
◎ 作业参考答案: 第三小题参考答案
1.4 冲激信号的抽样特性
1.4.1 题目要求
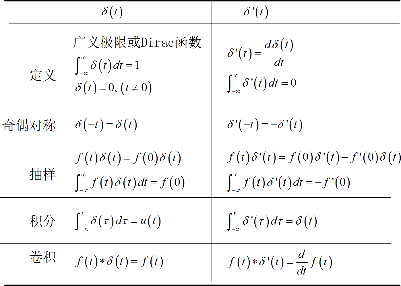
根据冲激信号 δ ( t ) delta left( t right) δ(t) 、冲激偶信号 δ ′ ( t ) delta 'left( t right) δ′(t) 的 抽样特性 ,求下面各个定积分的积分值。
由于在课堂上先介绍了冲激信号的基本概念:
δ ( t ) = d d t u ( t ) , δ ′ ( t ) = d d t δ ( t ) delta left( t right) = {d over {dt}}uleft( t right),,,delta 'left( t right) = {d over {dt}}delta left( t right) δ(t)=dtdu(t),δ′(t)=dtdδ(t)
对于它们的抽样特性还没有展开讲解。这一部分请大家对课件【1.1.3.3.2】中关于单位冲激信号的三种定义(函数演变定义、Dirac定义、分配函数定义)进行阅读,基于此理解:
- 单位冲激信号的抽样特性;
- 单位冲激信号的偶对称性;
- 单位冲激信号的尺度特性;
这些特性可以参考在课件【1.1.3.3.3】中总结的性质一览表:

▲ 图1.4.1 冲激信号与冲激偶信号特性表格
1.4.2 题目内容
(1)必做题
Ⅰ.第一小题

提示:请注意积分里面的 δ ( t / 2 ) delta left( {t/2} right) δ(t/2) ,这需要应用到冲激信号的尺度特性。
Ⅱ.第二小题

Ⅲ.第三小题

注意:请分别讨论 t 0 t_0 t0 分别在大于0和小于0两者情况下的积分结果。
Ⅳ.第四小题

(2)选做题
Ⅰ.第五小题

Ⅱ.第六小题

◎ 作业参考答案: 第四小题参考答案
1.5 信号的直流分量
注意:本题都是选做题
1.5.1 题目要求
分别求出下面周期信号的直流分量。
提示:周期信号的直流分量是它的一个周期的积分(面积)值除以周期。
1.5.2 题目内容
(1)选做题
Ⅰ.第一小题
全波整流信号:

Ⅱ.第二小题

Ⅲ.第三小题

Ⅳ.第四小题

◎ 作业参考答案: 第五小题参考答案 。
§02 实验内容
下面两个实验题目都是选做题目,可以任选其中一个进行实验,来认知关于信号表达方式与信息传递之间的关系,并对MATLAB,PYTHON中用于信号处理的软件包进行初步的了解。
2.1 DTMF音频中的电话号码
本题的背景来自于 技术宅的逆袭 - 牛逼大学生破译360总裁周鸿祎手机号 中介绍的一段有趣的新闻内容。详细内容大家可以参阅上面的网文。
获得信号的时频联合分布,可以让我们了解音频信号中频率成分随着时间变化的信息。
2.1.1 题目要求
从下面链接下载一段手机拨码音频,利用 MATLAB 中,或者PYTHON 中的 spectrogram 函数获得该音频信号的 时频联合分布图像,根据其中每个音频信号对应的频路组合,识别电话音乐中对应的电话号码。
- 电话音频文件下载链接 : https://gitee.com/tsinghuajoking/teaching-resources/raw/master/Signals&Systems/2022年/PhoneSound.wav
下面给出了 DTMF编码方案 中每个电话号码对应的高频和低频频率组合。

▲ 图2.1.1 DTFM信号及其电话编码规格
2.1.2 编程处理示例
(1)MATLAB 示例
下面给出了在MATLAB中处理DTMF 命令示例。
>> [s fs] = audioread('e:'bbflash'2.wav');
>> spectrogram(s(:,1), 2048, 1024, 1:2000, fs, 'yaxis');
>> plot((0:length(s)-1)/fs, s);
1.在MATLAB中使用audioread,audiowrite命令完成音频文件 的读取和存储。
2.在MATLAB中处理声音信号实际上是对连续声音信号的离散 采用数据进行处理。
3.对于音频信号的尺度变化,也可以试着改变音频文件的采 样率fs来达到同样的效果。
(2)PYTHON示例
利用Python来显示信号的 Spectrogram 可以参照下面博文中给出的示例:
- 检测DTMF信号质量
2.2 饭盒弹拨乐器琴弦频率
本文对一段由饭盒拨弦乐器所演奏的 女儿情 音乐,分析其中各个拨弦对应的频率,评价该饭盒弹拨乐器中琴弦音准质量。
2.2.1 题目要求
从下面链接下载 拨弦音乐的数据文件。通过 FFT(快速傅里叶变换,这部分内容将会在第三章进行讲解)来求取音频中每个琴弦频率分布。

▲ 图2.2.1 饭盒音乐中的琴弦频率
- 饭盒音乐音频文件下载链接 : https://gitee.com/tsinghuajoking/teaching-resources/raw/master/Signals&Systems/2022年/wave.mp3
2.2.2 参考处理方案
具体处理方法可以参考博文: 女儿情:对于一段音乐进行频率频谱分析 给出的方案。

▲ 图2.2.2 演奏音乐过程
■ 相关文献链接:
- 连续时间信号;
- 离散时间信号
- 数学中的虚幻模式
- 傅里叶变换中的狄利克雷条件
- 抽样特性
- 技术宅的逆袭 - 牛逼大学生破译360总裁周鸿祎手机号
- 电话音频文件下载链接
- DTMF的原理:为什么选择这些频率?
- MT8870DTMF解码器测试
- 检测DTMF信号质量
- 女儿情
- 饭盒音乐音频文件下载链接
- 女儿情:对于一段音乐进行频率频谱分析

▲ 图2.2.3
● 相关图表链接:
- 图1.2.1 对称三角波信号
- 图1.2.2 分段直流跃变信号
- 图1.2.3 升余弦脉冲信号
- 图1.2.4 单边正弦信号
- 图1.2.5 单边指数衰减振荡信号
- 图1.2.6 周期方波信号
- 图1.2.7 阶跃衰减信号
- 图1.4.1 冲激信号与冲激偶信号特性表格
- 图2.1.1 DTFM信号及其电话编码规格
- 图2.2.1 饭盒音乐中的琴弦频率
- 图2.2.2 演奏音乐过程
最后
以上就是顺心水池最近收集整理的关于信号与系统 2022 春季学期第一次作业 §01 作业内容 §02 实验内容 的全部内容,更多相关信号与系统内容请搜索靠谱客的其他文章。
发表评论 取消回复