
..................................................
三峡大学 以《架空输电线路设计》国家级规划教材为蓝本,汇聚电气工程国家级教学团队、北京道亨时代科技有限公司,面向输电线路工程专业本、专科学生,以及输电行业工程技术人员等社会化学习者,提供线路设计专业资料、法规标准、设计模型、专家咨询、行业培训等优秀教学资源,为我国输电行业的高等教育发展贡献力量。..................................................
第41次 精品课程视频
REC


在架窄输电线路的设计中, 架空线的自量、 覆冰和风压等荷载, 一般可视为沿线长或杆距均匀分布。在实际工程中, 架空线上也会出现非均布荷载。
1、出现非均布荷载的几种情况:(1)移动杆塔位置(杆高及数目不变);
(1)施工人员在进行附件安装或其它检修工作时,常采用飞车,飞车和施工人员的重量为作用在架空线上的集中荷载;
(2)运行检修人员修补损坏的导线或检测压接管时,往往采用绝缘爬梯挂在架空线上进行高空作业,爬梯和施工人员的重量为作用在架空线上的集中荷载;
(3)两基耐张杆塔相邻形成较小的孤立档时,需要考虑耐张绝缘子串的重量。该重量可视为在某区段上的均布荷载;
(4)架空线上悬挂的引流线和悬空换位中的跳线,形成集中荷载;
(5)软横担和采用滑索运送杆塔等情况,也可按作用有集中荷载的架空线考虑。 2、两种类型: 集中荷载 、某 区段上分布荷载 。
01
非均布荷载作用下的架空线
某档作用有非均布荷载的架空线,如下图所示。自重比载γ1、集度(单位长度上的荷载)为 p=f(x)、若干集中荷载 qi。

图中:
TA、TB -- 悬点处A、B的张力,
RA、RB -- 悬点处A、B的张力的垂向分力
T0 -- 悬点处A、B的张力的水平分力
..................................................
..................................................
..................................................
02
增设一基杆塔
2.1 假设
(1)架空线为理想柔索,线上各点弯矩为零;
(2)架空线变位后,各荷载间的水平距离保持不变;
(3)各荷载的大小不受架空线变化的影响。
2.2 受力分析
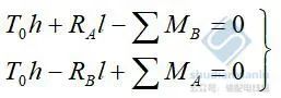
对悬点B、A列力矩平衡方程式,有

从而得到

式中:
h -- 高差,右悬挂点较高时为正,反之为负 l -- 档距 β -- 高差角 ∑MA、∑MB -- 分别为档内全部荷载(小包括悬挂点反力) 对悬挂点A、B之力矩; QA、QB -- 分别为档内荷载在悬挂点A 、B引起的相当于简支梁上的支点剪力, QA =∑MB /l ,QB = -∑MB /l
2.3 相当简支梁
指的是两简支点间距为档距l,受与档内架空线相同荷载作用的梁。

..................................................
..................................................
03
悬挂曲线方程
列C点力矩平衡方程,C点左侧档内所有荷载对C点的力矩,有

将RA 计算式代入,可得架空线悬挂曲线方程的一般形式为

式中:
∑MC -- C点左侧档内所有荷载对C点的力矩Mx -- 相当简支梁上C点所在截面的弯矩,Mx =QA x - ∑MC 。
注意:柔性架空线实际上并不存在剪力和弯矩,引入“剪力”和“弯矩”的概念,因为其计算方法与简支梁中的剪力和弯矩的计算方法完全相同,这样悬挂曲线方程变得简练。
输配电线路 公众号 编辑
输配电线路 公众号 编辑
课程章节
(点击以下目录自动进入相应章节学习) 第一章 绪论 1.1 输电线路及其分类 1.2 输电线路的组成部分 第二章 架空输电线路的基本知识 2.1 架空线的材料、种类和用途 2.2 导线截面的选择 2.3 地线架设的相关规定 2.4 绝缘子及其设计 2.5 金具的种类 2.6 杆塔、基础与接地 2.7 导线的排列方式和换位 第三章 设计用气象条件 3.1 气象三要素及其资料收集 3.2 气象条件的重现期和最大设计风速的确定 3.3 覆冰厚度与气温的选取 3.4 各种气象条件的组合 第四章 架空线的机械物理特性和比载 4.1 架空线的机械物理特性 4.2 许用应力和安全系数 4.3 七个比载及其求解 第五章 均布荷载下架空线的计算 5.1 架空线悬链线方程的积分普遍形式 5.2 等高悬点架空线的悬挂曲线方程 5.3 等高悬点架空线的弧垂、线长和应力 5.4 等高悬点架空线计算举例 5.5 不等高悬点架空线的弧垂、线长和应力 5.6 不等高悬点架空线的计算举例 5.7 架空线计算公式的简化 5.8 架空线的平均高度与平均应力 5.9 均布垂直比载和水平比载共同作用下架空线的计算 第六章 气象条件变化时架空线的计算 6.1 架空线的状态方程式 6.2 架空线状态方程式的解法 6.3 控制气象和临界档距 6.4 有效临界档距判定和控制气象条件的确定 6.5 控制条件的确定举例 6.6 最大弧垂的判定 6.7 应力弧垂曲线和安装曲线 第七章 均布荷载下架空线计算的进一步研究 7.1 刚性架空线悬挂曲线方程的普遍形式 7.2 刚性架空线的弧垂和弯曲应力 7.3 架空线的抗弯刚度 7.4 架空线的初伸长及其处理 7.5 架空线施工中的过牵引 水平档距和垂直档距-架空输电线路设计 7.6 水平档距和垂直档距 7.7 极大档距、允许档距和极限档距 7.8 架空输电线路的改建 (链接持续更新中......)授课老师
孟遂民主讲教师:
唐波、孟遂民、黄力、张子引、吴鹏 —我已酷酷结束—

最后
以上就是谨慎诺言最近收集整理的关于各种触发器的特性方程_架空线悬挂曲线方程的一般形式的全部内容,更多相关各种触发器内容请搜索靠谱客的其他文章。
发表评论 取消回复