我是靠谱客的博主 善良唇膏,这篇文章主要介绍三个变量存在一个协整方程_根据实例理解线性方程组的求解一、经济学例子二、总结,现在分享给大家,希望可以做个参考。

线性代数的最原始问题是解线性方程组,为了解决这个问题,我们引入了向量和矩阵,继而对矩阵的一些特性也进行了一番分析,然后又发现矩阵不但可以表示数据,也可以表示变换。然而,这些概念是如何应用于现实生活呢,实际生活中有哪些线性方程组的例子?这一章我们来介绍一些线性代数的实际应用。

总体上来说,牵涉到多个变量的相互约束,而且这些约束是“线性”的问题时,就有可能通过建立线性方程组从而得到解。

一、经济学例子

这是来自《线性代数及其应用》中的一个例子,很好地展示了线性代数在经济学中的应用:

比如一个国家包括煤炭、电力、钢铁三个部门,各部门都产出一定的资源,同时也消耗一定的资源(为方便讨论,本例中只考虑煤炭、电力、钢铁这三种资源,并且假设所有产出的资源都会被消耗)。比如,煤炭部门生产的每 100 份煤炭中,60 份被电力部门消耗,40 份被钢铁部门消耗;电力部门每生产 100 份煤炭,40 份被煤炭部门消耗,10 份被自己消耗,还有 50 份被钢铁部门消耗;钢铁部门每生产 100 份钢铁,60 份被煤炭部门消耗,20 份被电力部门消耗,还有 20 份被自己消耗。那么,如何给这三种资源定价,使得各部门的收支达到平衡?

首先,上面所述的各部门产出与消耗情况可以用一个表格来表示:

de1e3f0d951a3131bea78d40274f1406.png

表中每一行表示某部们消耗各资源的情况,各列表示某资源被各部门消耗的情况。例如,煤炭部门每生产 1 单位的煤炭,就有 0.6 单位被电力部门消耗,0.4 单位被钢铁部门消耗;同时,煤炭部门也会消耗 0.4 单位的电力和 0.6 单位的钢铁来保证生产。

当然我们可以考虑用向量来表示这个表格。将表格中的各行向量化,得到:

7cc5119b4c2a0075f5edc3d3e1846bbf.png

其中,Oc,Oe, Os 分别表示煤炭、电力、钢铁各个部门消耗三种资源的量。

各种资源的单位价格也可以用符号定义。例如用 pc, pe, ps 分别来表示煤炭、电力、钢铁三种资源的价格,那么煤炭部门的总支出就是

872a76a14ff616a1f1d3f9e2518d25c1.png

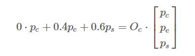
.同理,电力部门和钢铁部门的总支出是

2a699d6607dcd139cdccfc21c8707c1f.png

也就是说,煤炭部门每生产出 1 单位价值为pc 的煤炭,它就需要消耗价值为

b0a50d5ef3a9df47c5ae9a96d05ef845.png

的资源。要使煤炭部门收支平衡,就需要:

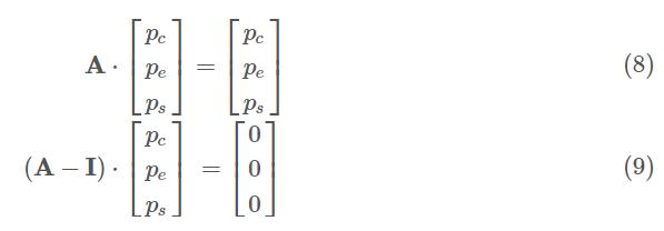
3e3085a1d03c9c97a61f2fe489460b75.png

同理,要使三个部门都达到收支平衡,需要:

80d9b4e7c9ff177ccc44336bb1545e22.png

借助矩阵的封装,我们可以把这三个式子合并为一个式子:

5012b0927df04aeb7e281e1eba1bccee.png

其中,3 x 3 矩阵A 就是上面的那个表格。

式子(9) 是我们熟悉的齐次线性方程组的形式。按照套路,我们化简增广矩阵:

b4f9e456a45af9a1895b7950bc2c0962.png

由此得到通解:pc=0.94ps, pe=0.85ps,ps 为自由变量。

所以,各部门达到收支平衡时的平衡价格向量为:

e79f9b82b7f7097722fc12706b243a2d.png

也就是说,如果钢铁价格为100元,那么煤炭和电的价格分别为94元和和85元时,整个经济系统可以达到平衡。

二、总结

从上面的例子,我们可以发现:

  • 当一个系统中各个部分之间存在线性约束时(例如化学方程式的配平,各元素之间相互存在约束关系),就有可能借助线性方程组来建模。
  • 当一个问题描述的是一张简单的表格时,我们可以将其向量化为一系列向量,或是一个矩阵,进而进行“批量”计算。

这里,我们再次发现了矩阵“封装”计算的特点。借助向量化和矩阵化,我们可以将传统的数学问题转化为线性代数问题(如本文的例子就转化为了齐次线性方程组)。

最后

以上就是善良唇膏最近收集整理的关于三个变量存在一个协整方程_根据实例理解线性方程组的求解一、经济学例子二、总结的全部内容,更多相关三个变量存在一个协整方程_根据实例理解线性方程组内容请搜索靠谱客的其他文章。

本图文内容来源于网友提供,作为学习参考使用,或来自网络收集整理,版权属于原作者所有。
点赞(332)

评论列表共有 0 条评论

立即
投稿
返回
顶部