题意
问N有多少个排列满足,对于i∈[1,n],有
∣
a
i
−
i
∣
̸
=
K
|a_i-i|not=K
∣ai−i∤=K
答案对924844033取模
题解
如果我们算出至少i个位置不满足这个条件的方案数(令之为f(i)),那我们就可以通过容斥来实现这道题
那么f(i)怎么求呢
我们把位置看成点,位置上的数也看成点,把那些不满足条件的关系看做边,那么就成了一个二分图

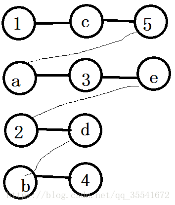
如图是5 2
如果我们把他拉直会怎样

其实就成了几条链
其实也就是说,只有那些%k相同的彼此间会有影响
我们可以通过一个dp,分开计算每条链匹配i条边的方案数,然后再加起来
不过更巧妙的办法是把这些看做一条长链,只是那些原来的链的终止节点不能被匹配,然后答案直接读取末尾的值
也即是说,定义
d
(
i
,
j
,
0
/
1
)
d(i,j,0/1)
d(i,j,0/1)表示前i个,有j个不满足条件,当前节点是否选择
d
(
i
+
1
,
j
,
0
)
=
d
(
i
,
j
,
0
)
+
d
(
i
,
j
,
1
)
d(i+1,j,0)=d(i,j,0)+d(i,j,1)
d(i+1,j,0)=d(i,j,0)+d(i,j,1)
d
(
i
+
1
,
j
+
1
,
1
)
=
d
(
i
,
j
,
0
)
d(i+1,j+1,1)=d(i,j,0)
d(i+1,j+1,1)=d(i,j,0)(注意此处转移时判断是否是两条链的交界处(即是否真的可以连边))
那么,我们要求的f(i)就是
(
d
(
2
∗
n
,
i
,
0
)
+
d
(
2
∗
n
,
i
,
1
)
)
∗
(
n
−
i
)
!
(d(2*n,i,0)+d(2*n,i,1))*(n-i)!
(d(2∗n,i,0)+d(2∗n,i,1))∗(n−i)!
然后容斥
#include<cstdio>
#include<cstring>
#include<algorithm>
using namespace std;
typedef long long ll;
const int mod=924844033;
const int N=4005;
int n,k;
bool vis[N][2];
bool ed[N];
int tot;
int d[N][N][2];
int f[N];
int fact[N];
int main()
{
//freopen("captain.in","r",stdin);
//freopen("captain.out","w",stdout);
scanf("%d%d",&n,&k);
for(int i=1;i<=n;i++)
for(int j=0;j<=1;j++)
if(!vis[i][j]){
int len=0;
for(int x=i,y=j;x<=n;x+=k,y^=1)
vis[x][y]=1,len++;
tot+=len;
ed[tot]=1;
}
ed[0]=1;
d[0][0][0]=1;
for(int i=0;i<2*n;i++)
for(int j=0;j<=n;j++){
d[i+1][j][0]=(d[i][j][0]+d[i][j][1])%mod;
if(!ed[i])
d[i+1][j+1][1]=d[i][j][0];
}
for(int i=0;i<=n;i++)
f[i]=(d[2*n][i][0]+d[2*n][i][1])%mod;
fact[0]=1;
for(int i=1;i<=n;i++)
fact[i]=1ll*fact[i-1]*i%mod;
int ans=0;
for(int i=0,j=1;i<=n;i++,j=-j)
ans=((1ll*ans+1ll*j*fact[n-i]*f[i]%mod)%mod+mod)%mod;
printf("%dn",ans);
}
这里还有 O ( N l o g N ) O(NlogN) O(NlogN)的做法
最后
以上就是懵懂日记本最近收集整理的关于AGC005 D ~K Perm Counting题意题解的全部内容,更多相关AGC005内容请搜索靠谱客的其他文章。
发表评论 取消回复