模型设计
先看一下DDS的模型设计。

生成RTL代码
简单3个步骤就可以自动生成RTL代码。
1)模型设计的顶层放置一个代码生成控制器,设置RTL代码的模块名称和一些文件头信息,时钟频率将用于自动生成的DC综合脚本。

2)开启RTL代码生成服务器
3)运行一次Simulink仿真

RTL代码解析
1)文件头

与模型设计中的RTL Generate Control的参数设置对应。
2)模块声明和端口声明

与输入端口模型和输出端口模型对应:


CLK和RST_N是数字电路两个必要的信号,隐含在模型设计的基于节拍的仿真方式中。
3)每个模型对应的输出信号的声明

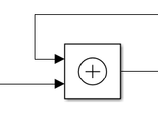
4)加法器

对应模型:

加法器的两个输入,一个来自输入端口FREQ,一个来自寄存器Reg3_REG。
加法器遵循“无精度损失”原则,输出位宽相对输入位宽会有所增加。
5)定点化处理器

对应模型:

6) 单元延时器(寄存器)

对应模型:

7)LUT前的定点化处理器

对应模型:

LUT的地址空间大小由输入信号的位宽决定,需要用定点化处理模型限制位宽,降低LUT的电路规模。
8)LUT,存储正弦波数据


对应模型:

9)输出级寄存器

对应模型:

10)输出赋值与模块结束

对应模型:

11)资源使用统计

对于位宽异常大的信号,需要检查确认是否符合设计预期。
完整verilog代码
//-----------------------------------------------------------------------------
// FILE : rtlgen_demo_dds.v
// AUTHOR : myName
// DATE : 2020-08-15
// ABSTRACT :
// test simu-rtl_gen
//
//=====================================================================
// Created with SIMU2RTL(v20200814)
// @ 2020-08-15 19:21:12
// Simulink System:
// tb_demo_dds
//=====================================================================
// TESTBENCH FILE : rtlgen_demo_dds_tb.v
// TEST STIMULUS FILE : ./test_data/*.vec
//
// @Copyright 2020 MyCorp
// All rights reserved.
//-----------------------------------------------------------------------------
module rtlgen_demo_dds (
CLK ,
RST_N ,
FREQ , // <24,0,u>
DOUT // <10,0,t>
);
// ports declaration
input CLK ;
input RST_N ;
input [23:0] FREQ ; // <24,0,u>
output [ 9:0] DOUT ; // <10,0,t>
//-----------------------------------------------------------------------------
// internal signals declaration
reg [ 9:0] Reg6_REG ; // <10,0,t>
reg [23:0] Reg3_REG ; // <24,0,u>
wire [24:0] Add1_CMB ; // <25,1,u>
wire [23:0] Fmt2_CMB ; // <24,0,u>
wire [ 7:0] Fmt4_CMB ; // <8,0,u>
reg [ 9:0] Lut5_CMB ; // <10,0,t>
//-----------------------------------------------------------------------------
//-----------------------------------------------------------------------------
// hilite_system('tb_demo_dds/DDS/Adder')
// Adder #1 : <24,0,u> + <24,0,u> --> <25,1,u>
assign Add1_CMB = {1'B0,Reg3_REG}+{1'B0,FREQ};
//-----------------------------------------------------------------------------
//-----------------------------------------------------------------------------
// hilite_system('tb_demo_dds/DDS/Format')
// Format #2 : wrap & truncate <25,1,u> to <24,0,u>
assign Fmt2_CMB = Add1_CMB[23:0];
//-----------------------------------------------------------------------------
//-----------------------------------------------------------------------------
// hilite_system('tb_demo_dds/DDS/UnitDelay')
// Register #3 : <24,0,u>
always @(posedge CLK or negedge RST_N)
begin : proc_Reg3_REG
if(RST_N==1'B0)
Reg3_REG <= 24'H0; // <24,0,u> 0.000000
else
Reg3_REG <= Fmt2_CMB;
end
//-----------------------------------------------------------------------------
//-----------------------------------------------------------------------------
// hilite_system('tb_demo_dds/DDS/Format1')
// Format #4 : wrap & truncate <24,0,u> to <8,0,u>
assign Fmt4_CMB = Reg3_REG[23:16];
//-----------------------------------------------------------------------------
//-----------------------------------------------------------------------------
// hilite_system('tb_demo_dds/DDS/LUT')
// LUT #5 : <8,0,u> --> <10,0,t>
always @(Fmt4_CMB)
begin : proc_Lut5_CMB
case(Fmt4_CMB)
8'D0 : Lut5_CMB = 10'D0;
8'D1 : Lut5_CMB = 10'D13;
8'D2 : Lut5_CMB = 10'D25;
8'D3 : Lut5_CMB = 10'D38;
8'D4 : Lut5_CMB = 10'D50;
8'D5 : Lut5_CMB = 10'D63;
8'D6 : Lut5_CMB = 10'D75;
8'D7 : Lut5_CMB = 10'D88;
8'D8 : Lut5_CMB = 10'D100;
8'D9 : Lut5_CMB = 10'D112;
8'D10 : Lut5_CMB = 10'D124;
8'D11 : Lut5_CMB = 10'D137;
8'D12 : Lut5_CMB = 10'D149;
8'D13 : Lut5_CMB = 10'D161;
8'D14 : Lut5_CMB = 10'D172;
8'D15 : Lut5_CMB = 10'D184;
8'D16 : Lut5_CMB = 10'D196;
8'D17 : Lut5_CMB = 10'D207;
8'D18 : Lut5_CMB = 10'D219;
8'D19 : Lut5_CMB = 10'D230;
8'D20 : Lut5_CMB = 10'D241;
8'D21 : Lut5_CMB = 10'D252;
8'D22 : Lut5_CMB = 10'D263;
8'D23 : Lut5_CMB = 10'D274;
8'D24 : Lut5_CMB = 10'D284;
8'D25 : Lut5_CMB = 10'D295;
8'D26 : Lut5_CMB = 10'D305;
8'D27 : Lut5_CMB = 10'D315;
8'D28 : Lut5_CMB = 10'D325;
8'D29 : Lut5_CMB = 10'D334;
8'D30 : Lut5_CMB = 10'D344;
8'D31 : Lut5_CMB = 10'D353;
8'D32 : Lut5_CMB = 10'D362;
8'D33 : Lut5_CMB = 10'D371;
8'D34 : Lut5_CMB = 10'D379;
8'D35 : Lut5_CMB = 10'D388;
8'D36 : Lut5_CMB = 10'D396;
8'D37 : Lut5_CMB = 10'D404;
8'D38 : Lut5_CMB = 10'D411;
8'D39 : Lut5_CMB = 10'D419;
8'D40 : Lut5_CMB = 10'D426;
8'D41 : Lut5_CMB = 10'D433;
8'D42 : Lut5_CMB = 10'D439;
8'D43 : Lut5_CMB = 10'D445;
8'D44 : Lut5_CMB = 10'D452;
8'D45 : Lut5_CMB = 10'D457;
8'D46 : Lut5_CMB = 10'D463;
8'D47 : Lut5_CMB = 10'D468;
8'D48 : Lut5_CMB = 10'D473;
8'D49 : Lut5_CMB = 10'D478;
8'D50 : Lut5_CMB = 10'D482;
8'D51 : Lut5_CMB = 10'D486;
8'D52 : Lut5_CMB = 10'D490;
8'D53 : Lut5_CMB = 10'D493;
8'D54 : Lut5_CMB = 10'D497;
8'D55 : Lut5_CMB = 10'D500;
8'D56 : Lut5_CMB = 10'D502;
8'D57 : Lut5_CMB = 10'D504;
8'D58 : Lut5_CMB = 10'D506;
8'D59 : Lut5_CMB = 10'D508;
8'D60 : Lut5_CMB = 10'D510;
8'D61 : Lut5_CMB = 10'D511;
8'D62 : Lut5_CMB = 10'D511;
8'D63 : Lut5_CMB = 10'D511;
8'D64 : Lut5_CMB = 10'D511;
8'D65 : Lut5_CMB = 10'D511;
8'D66 : Lut5_CMB = 10'D511;
8'D67 : Lut5_CMB = 10'D511;
8'D68 : Lut5_CMB = 10'D510;
8'D69 : Lut5_CMB = 10'D508;
8'D70 : Lut5_CMB = 10'D506;
8'D71 : Lut5_CMB = 10'D504;
8'D72 : Lut5_CMB = 10'D502;
8'D73 : Lut5_CMB = 10'D500;
8'D74 : Lut5_CMB = 10'D497;
8'D75 : Lut5_CMB = 10'D493;
8'D76 : Lut5_CMB = 10'D490;
8'D77 : Lut5_CMB = 10'D486;
8'D78 : Lut5_CMB = 10'D482;
8'D79 : Lut5_CMB = 10'D478;
8'D80 : Lut5_CMB = 10'D473;
8'D81 : Lut5_CMB = 10'D468;
8'D82 : Lut5_CMB = 10'D463;
8'D83 : Lut5_CMB = 10'D457;
8'D84 : Lut5_CMB = 10'D452;
8'D85 : Lut5_CMB = 10'D445;
8'D86 : Lut5_CMB = 10'D439;
8'D87 : Lut5_CMB = 10'D433;
8'D88 : Lut5_CMB = 10'D426;
8'D89 : Lut5_CMB = 10'D419;
8'D90 : Lut5_CMB = 10'D411;
8'D91 : Lut5_CMB = 10'D404;
8'D92 : Lut5_CMB = 10'D396;
8'D93 : Lut5_CMB = 10'D388;
8'D94 : Lut5_CMB = 10'D379;
8'D95 : Lut5_CMB = 10'D371;
8'D96 : Lut5_CMB = 10'D362;
8'D97 : Lut5_CMB = 10'D353;
8'D98 : Lut5_CMB = 10'D344;
8'D99 : Lut5_CMB = 10'D334;
8'D100 : Lut5_CMB = 10'D325;
8'D101 : Lut5_CMB = 10'D315;
8'D102 : Lut5_CMB = 10'D305;
8'D103 : Lut5_CMB = 10'D295;
8'D104 : Lut5_CMB = 10'D284;
8'D105 : Lut5_CMB = 10'D274;
8'D106 : Lut5_CMB = 10'D263;
8'D107 : Lut5_CMB = 10'D252;
8'D108 : Lut5_CMB = 10'D241;
8'D109 : Lut5_CMB = 10'D230;
8'D110 : Lut5_CMB = 10'D219;
8'D111 : Lut5_CMB = 10'D207;
8'D112 : Lut5_CMB = 10'D196;
8'D113 : Lut5_CMB = 10'D184;
8'D114 : Lut5_CMB = 10'D172;
8'D115 : Lut5_CMB = 10'D161;
8'D116 : Lut5_CMB = 10'D149;
8'D117 : Lut5_CMB = 10'D137;
8'D118 : Lut5_CMB = 10'D124;
8'D119 : Lut5_CMB = 10'D112;
8'D120 : Lut5_CMB = 10'D100;
8'D121 : Lut5_CMB = 10'D88;
8'D122 : Lut5_CMB = 10'D75;
8'D123 : Lut5_CMB = 10'D63;
8'D124 : Lut5_CMB = 10'D50;
8'D125 : Lut5_CMB = 10'D38;
8'D126 : Lut5_CMB = 10'D25;
8'D127 : Lut5_CMB = 10'D13;
8'D128 : Lut5_CMB = 10'D0;
8'D129 : Lut5_CMB = 10'D1011;
8'D130 : Lut5_CMB = 10'D999;
8'D131 : Lut5_CMB = 10'D986;
8'D132 : Lut5_CMB = 10'D974;
8'D133 : Lut5_CMB = 10'D961;
8'D134 : Lut5_CMB = 10'D949;
8'D135 : Lut5_CMB = 10'D936;
8'D136 : Lut5_CMB = 10'D924;
8'D137 : Lut5_CMB = 10'D912;
8'D138 : Lut5_CMB = 10'D900;
8'D139 : Lut5_CMB = 10'D887;
8'D140 : Lut5_CMB = 10'D875;
8'D141 : Lut5_CMB = 10'D863;
8'D142 : Lut5_CMB = 10'D852;
8'D143 : Lut5_CMB = 10'D840;
8'D144 : Lut5_CMB = 10'D828;
8'D145 : Lut5_CMB = 10'D817;
8'D146 : Lut5_CMB = 10'D805;
8'D147 : Lut5_CMB = 10'D794;
8'D148 : Lut5_CMB = 10'D783;
8'D149 : Lut5_CMB = 10'D772;
8'D150 : Lut5_CMB = 10'D761;
8'D151 : Lut5_CMB = 10'D750;
8'D152 : Lut5_CMB = 10'D740;
8'D153 : Lut5_CMB = 10'D729;
8'D154 : Lut5_CMB = 10'D719;
8'D155 : Lut5_CMB = 10'D709;
8'D156 : Lut5_CMB = 10'D699;
8'D157 : Lut5_CMB = 10'D690;
8'D158 : Lut5_CMB = 10'D680;
8'D159 : Lut5_CMB = 10'D671;
8'D160 : Lut5_CMB = 10'D662;
8'D161 : Lut5_CMB = 10'D653;
8'D162 : Lut5_CMB = 10'D645;
8'D163 : Lut5_CMB = 10'D636;
8'D164 : Lut5_CMB = 10'D628;
8'D165 : Lut5_CMB = 10'D620;
8'D166 : Lut5_CMB = 10'D613;
8'D167 : Lut5_CMB = 10'D605;
8'D168 : Lut5_CMB = 10'D598;
8'D169 : Lut5_CMB = 10'D591;
8'D170 : Lut5_CMB = 10'D585;
8'D171 : Lut5_CMB = 10'D579;
8'D172 : Lut5_CMB = 10'D572;
8'D173 : Lut5_CMB = 10'D567;
8'D174 : Lut5_CMB = 10'D561;
8'D175 : Lut5_CMB = 10'D556;
8'D176 : Lut5_CMB = 10'D551;
8'D177 : Lut5_CMB = 10'D546;
8'D178 : Lut5_CMB = 10'D542;
8'D179 : Lut5_CMB = 10'D538;
8'D180 : Lut5_CMB = 10'D534;
8'D181 : Lut5_CMB = 10'D531;
8'D182 : Lut5_CMB = 10'D527;
8'D183 : Lut5_CMB = 10'D524;
8'D184 : Lut5_CMB = 10'D522;
8'D185 : Lut5_CMB = 10'D520;
8'D186 : Lut5_CMB = 10'D518;
8'D187 : Lut5_CMB = 10'D516;
8'D188 : Lut5_CMB = 10'D514;
8'D189 : Lut5_CMB = 10'D513;
8'D190 : Lut5_CMB = 10'D513;
8'D191 : Lut5_CMB = 10'D512;
8'D192 : Lut5_CMB = 10'D512;
8'D193 : Lut5_CMB = 10'D512;
8'D194 : Lut5_CMB = 10'D513;
8'D195 : Lut5_CMB = 10'D513;
8'D196 : Lut5_CMB = 10'D514;
8'D197 : Lut5_CMB = 10'D516;
8'D198 : Lut5_CMB = 10'D518;
8'D199 : Lut5_CMB = 10'D520;
8'D200 : Lut5_CMB = 10'D522;
8'D201 : Lut5_CMB = 10'D524;
8'D202 : Lut5_CMB = 10'D527;
8'D203 : Lut5_CMB = 10'D531;
8'D204 : Lut5_CMB = 10'D534;
8'D205 : Lut5_CMB = 10'D538;
8'D206 : Lut5_CMB = 10'D542;
8'D207 : Lut5_CMB = 10'D546;
8'D208 : Lut5_CMB = 10'D551;
8'D209 : Lut5_CMB = 10'D556;
8'D210 : Lut5_CMB = 10'D561;
8'D211 : Lut5_CMB = 10'D567;
8'D212 : Lut5_CMB = 10'D572;
8'D213 : Lut5_CMB = 10'D579;
8'D214 : Lut5_CMB = 10'D585;
8'D215 : Lut5_CMB = 10'D591;
8'D216 : Lut5_CMB = 10'D598;
8'D217 : Lut5_CMB = 10'D605;
8'D218 : Lut5_CMB = 10'D613;
8'D219 : Lut5_CMB = 10'D620;
8'D220 : Lut5_CMB = 10'D628;
8'D221 : Lut5_CMB = 10'D636;
8'D222 : Lut5_CMB = 10'D645;
8'D223 : Lut5_CMB = 10'D653;
8'D224 : Lut5_CMB = 10'D662;
8'D225 : Lut5_CMB = 10'D671;
8'D226 : Lut5_CMB = 10'D680;
8'D227 : Lut5_CMB = 10'D690;
8'D228 : Lut5_CMB = 10'D699;
8'D229 : Lut5_CMB = 10'D709;
8'D230 : Lut5_CMB = 10'D719;
8'D231 : Lut5_CMB = 10'D729;
8'D232 : Lut5_CMB = 10'D740;
8'D233 : Lut5_CMB = 10'D750;
8'D234 : Lut5_CMB = 10'D761;
8'D235 : Lut5_CMB = 10'D772;
8'D236 : Lut5_CMB = 10'D783;
8'D237 : Lut5_CMB = 10'D794;
8'D238 : Lut5_CMB = 10'D805;
8'D239 : Lut5_CMB = 10'D817;
8'D240 : Lut5_CMB = 10'D828;
8'D241 : Lut5_CMB = 10'D840;
8'D242 : Lut5_CMB = 10'D852;
8'D243 : Lut5_CMB = 10'D863;
8'D244 : Lut5_CMB = 10'D875;
8'D245 : Lut5_CMB = 10'D887;
8'D246 : Lut5_CMB = 10'D900;
8'D247 : Lut5_CMB = 10'D912;
8'D248 : Lut5_CMB = 10'D924;
8'D249 : Lut5_CMB = 10'D936;
8'D250 : Lut5_CMB = 10'D949;
8'D251 : Lut5_CMB = 10'D961;
8'D252 : Lut5_CMB = 10'D974;
8'D253 : Lut5_CMB = 10'D986;
8'D254 : Lut5_CMB = 10'D999;
// 8'D255
default : Lut5_CMB = 10'D1011;
endcase
end
//-----------------------------------------------------------------------------
//-----------------------------------------------------------------------------
// hilite_system('tb_demo_dds/DDS/UnitDelay2')
// Register #6 : <10,0,t>
always @(posedge CLK or negedge RST_N)
begin : proc_Reg6_REG
if(RST_N==1'B0)
Reg6_REG <= 10'H0; // <10,0,t> 0.000000
else
Reg6_REG <= Lut5_CMB;
end
//-----------------------------------------------------------------------------
//-----------------------------------------------------------------------------
// Output
assign DOUT = Reg6_REG; // <10,0,t> hilite_system('tb_demo_dds/DDS/OUP')
//-----------------------------------------------------------------------------
endmodule // rtlgen_demo_dds
//-----------------------------------------------------------------------------
// Statistics:
// Input Port(non-memory): 1
// Output Port(non-memory): 1
// Instances(non-memory): 8
// Internal Signal: 6
// Total Register: 34 bits
//-----------------------------------------------------------------------------
//-----------------------------------------------------------------------------
// Internal Comb. Signals Top 50 (Vector Excluded)
// Index NAME FXP
// # 1 Add1_CMB <25,1,u>
// # 2 Fmt2_CMB <24,0,u>
// # 3 Fmt4_CMB <8,0,u>
//-----------------------------------------------------------------------------
// Internal Registers Top 50 (Vector Excluded)
// Index NAME FXP
// # 1 Reg3_REG <24,0,u>
// # 2 Reg6_REG <10,0,t>
//-----------------------------------------------------------------------------
// Multiplier Count: 0 Total bits: 0
// Multiplier Top 50 of 0
// Index NAME FXP
//-----------------------------------------------------------------------------
// Adder/Subtractor Count: 1 Total bits: 0
// Adder/Subtractor Top 50 of 1
// Index NAME FXP
// # 1 Add1_CMB <25,1,u>
//-----------------------------------------------------------------------------
//-----------------------------------------------------------------------------
// End of the file.
//-----------------------------------------------------------------------------
最后
以上就是朴素店员最近收集整理的关于硬件设计的MBD实践:自动生成RTL代码的全部内容,更多相关硬件设计内容请搜索靠谱客的其他文章。
本图文内容来源于网友提供,作为学习参考使用,或来自网络收集整理,版权属于原作者所有。
发表评论 取消回复