超级电容的优点:
➤超级电容由于其焊接的安装方式,比起电池更牢固。其能量密度高,能在很小的体积下达到法拉级别的电容量。充放电电路简单。使用过程中过充和过放对其寿命本身影响不大。相较于电池其更绿色环保。
超级电容的缺点:
➤和普通电解电容一样,超级电容也存在电解质泄露的风险。超级电容由于其构造原理,本身内阻比较大,所以不可以用在交流电路中。温度因素对超级电容的寿命影响比较大,温度每升高5℃,电容器的寿命将下降10%
电容充电模型

电源输入通过电阻R为电容C充电,刚开始电容C上面没有电荷积累,电容两端没有电压,相当于短路,此时充电电流最大;(电容的特性就是两端的电压不能突变,因为电容是有记忆性原件,满足u(t)=(1/c) ∫ i(t)dt。,故通电时其两端电压都是0,相当于短路。)
随着电荷在电容上积累,电容两端的电压逐渐升高,充电电流减小,充电的速率逐渐变缓;直到电容两端的电压等于电源输入,此时电流为0,电阻R上没有压降。
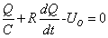
记电源电压为Uo,电容电压为Uc,充电电流为I,电容积累的电荷量为Q。
根据基尔霍夫定律,
等价于,
解这个微分方程,
由此可得电容的充电电流为,
电容的端电压为,
RC为时间常数,单位为秒。电容充电电流在0时刻最大,然后逐渐下降;电容电压逐渐增加,至无穷时刻增至Uo。3~5个RC时间段认为电容充满。

如果电阻R取1R,电容C取50F,那么RC=50s,在3~5RC的时间电容充电完毕。
显然由于功率限制和芯片输出性能有限等等,肯定不能无限制给电容充电,所以要把前方的电源输入变成一个数控恒流源,而电容充电的功率计算还需要一个ADC实时监测电容两端电压。实测电容可能会反灌前方的恒流源,还需要理想二极管或者大电流肖特基并联预防反灌。
一些设计参考(仅为开源验证版)
LTC4412理想二极管方案:理想二极管
超级电容均压板(BW61101)方案:BW6101
(TL431) 方案: 超级电容均压板(TL431)
参考以下博客
STM32上电复位电路参数选择
超级电容,它为什么那么“超级”
最后
以上就是糟糕眼睛最近收集整理的关于超级电容全讲解的全部内容,更多相关超级电容全讲解内容请搜索靠谱客的其他文章。
发表评论 取消回复