我是靠谱客的博主 谨慎机器猫,这篇文章主要介绍双代号网络图、双代号时标网络图、单代号网络图精讲,现在分享给大家,希望可以做个参考。

请点击↑关注、收藏,本博客免费为你获取精彩知识分享!有惊喜哟!!

01

进度管理—普通双代号网络

1.识读、虚箭线

(1)网络图的识读:基本组成及逻辑关系;

(2)补充虚箭线:共用一个班组、共用一台机械;

(3)网络图的基本绘制要求:①只有一个起点及终点;②箭线从小节点编号指向大编号;③不允许有循环回路。

2.双代号网络图正误判断

(a)看是否有循环回路:有无指向左方的箭线;

(b)看节点编号:节点编号从小到大,可不连续但不能重复;

(c)看两个节点之间是否有超过一条以上的箭线;

(d)看是否只有一个起点节点和一个终点节点。

3.双代号网络图的绘制方法

4.绘图方法和技巧:

4.1.绘制没有紧前工作的工作,使它们具有相同的开始节点,即起始节点。

4.2.绘制没有紧后工作的工作,使它们具有相同的结束节点,即终点节点。

4.3.当所绘制的工作只有一个紧前工作时,将该工作直接画在其紧前工作的结束节点之后。

4.4.当所绘制的工作有多个紧前工作时,按以下四种情况分别考虑:

(1)如果在其紧前工作中存在一项只作为本工作紧前工作的工作,则将本工作直接画在该紧前工作结束节点之后;

(2)如果在其紧前工作中存在多项只作为本工作紧前工作的工作,先将这些紧前工作的结束

节点合并,再从合并后的节点开始,画出本工作;

(3)如果其所有紧前工作都同时作为其他工作的紧前工作,先将它们的完成节点合并后,再从合并后的节点开始,画出本工作;

(4)如果不存在情况(1)、(2)、(3),则将本工作箭线单独画在其紧前工作箭线之后的中部,然后用虚工作将紧前工作与本工作相连。

5.标号法是一种快速寻求网络计划计算工期和关键线路的方法。

它利用按节点计算法的基本原理,对网络计划中的每一个节点进行标号,然后利用标号值确定网络计划的计算工期和关键线路。

6.关键线路、关键工作

(1)关键线路的判定方法:从起点节点到终点节点为止,持续时间最长的线路。工期是完成一项任务所需要的时间。计算工期 Tc;要求工期 Tr;计划工期 Tp。

①当已规定了要求工期时,计划工期不应超过要求工期,工作总时差最小的线路。

②当未规定了要求工期时,可令计划工期等于计算工期。总时差为零的线路。

(2)关键线路上各项工作的持续时间之和即为网络计划的计划工期。

(3)处在关键线路上的工作即为关键工作。

把下面表格,转成单代号网络图:

单代号网络图:

下图,求关键路径。

画“七格图”:可以得出每个活动的开始、结束时间。

每个活动的第一行格子,是求最早开始时间、最早完成时间。

比如B活动的,最早开始时间是第5天(实际是第6天(5+1)。为了推送方便填5),最早完成时间第16天。从左往右边推算。比如从A开始算起,再B、E

*单代号网络图 转成 七格图

每个活动的最底部那行格子,是求最晚开始时间、最晚完成时间。从右往左推算。比如 从E开始算起,然后B、A

最早开始时间、最早完成时间。

最晚开始时间、最晚完成时间。

能理解吗?比如活动D

允许 最早开工日期是5,最早开工日期是9

允许 最晚开工日期是9,最晚完工日期是13

浮动时间=自由时间,文字不同,但是意义一样的。

通俗而言:

比如活动B

活动B的总时差:允许它可推迟开工的天数,但不影响整个项目工期。

*活动B 总时差是0,它不能推迟开工,如果推迟开工1天,整个项目工期就会受到影响。

*活动C 总时差是5,它可以最多推迟5天开工,不会影响项目工期。

活动B的自由时差:允许它可以推迟开工的天数,但是不影响紧后的活动。

*活动B, 自由时差是0,它如果推迟1天,紧后的活动E就会受到影响。

活动C,自由时差是5(公式11-11=5),假如它推迟5天,也不影响紧后活动E。

7.总时差、自由时差、计算与应用

(1)总时差

①总时差的概念:某工作在不影响总工期的前提下所具有的机动时间;

②总时差的计算:某工作的总时差 TFi-j= 本工作起至终点节点各条线路上波形线之和的最小值。以终点节点为完成节点的工作的总时差等于计划工期与计算工期之差。

③总时差的应用:工期索赔(业主的责任且延误的时间超出本工作的总时差,超出部分可索赔。或不可抗力发生时,延误的时间超出总时差部分的可提出索赔)

(2)自由时差

①自由时差的概念:某工作在不影响其紧后工作最早开始的前提下所具有的机动时间。

②自由时差的计算:其他工作的自由时差等于本工作与其紧后工作时间间隔的最小值。以终点节点为完成节点的工作的自由时差等于计划工期与本工作的最早完成时间之差。

③自由时差的应用:某工作延误是否会对其紧后工作造成影响。

8.最优赶工方案的制定

(1)赶工原则

①在关键线路上赶(在赶工的过程中,允许其他线路成为关键线路,一旦是关键线路必须始终保持;当有多条关键线路时,必须将各关键线路的总持续时间压缩相同数值;②有赶工潜力;③赶工④质量有保

(2)赶工思路

①目标工期;②目前工期;③需赶工工期;④赶工方案(赶工费最小,关键线路保持)(最优赶工方案)。

9.奖罚工期的确定

实际工期、奖罚工期的确定均应在竣工时判断:

(1)实际工期:根据现场各项工作的实际持续时间,确定持续时间最长的线路即为实际的关键线路,关键线路上的持续时间之和为实际工期。

(2)当实际工期与合同工期不符时,应按合同约定考虑奖罚,处理思路如下:①实际工期与合同工期比较;②超出工期与业主可顺延工期的比较;③判断奖罚,即超出工期小于可顺延工期为奖,反之为罚。

责任、工作、赔偿方法,见表:

责任

工作

赔偿方法

施工方原因

关键工作

不给工期顺延

非关键工作

业主方原因

关键工作

延误天数就是工期顺延天数

非关键工作

要看总时差,超过总时差的天数就是工期顺延天数

责任

工作

赔偿方法

不可抗力原因(业主责任)

关键工作

延误天数就是工期顺延天数

非关键工作

要看总时差,超过总时差的天数就是工期顺延天数

例题:某建筑工程施工进度计划网络图如图所示:

施工中发生了以下事件:

事件1:A工作因设计变更停工10天;

事件2:B工作因施工质量问题返工,延长工期7天;

事件3:E工作因建设单位供料延期,推迟3天施工。

问题:

1.本工程计划总工期和实际总工期各为多少天?

2.施工总承包单位可否就事件1至事件3获得工期索赔?分别说明理由。

答案:

1.经计算得知:原计划关键线路为:A→B→D→G→K;

本工程计划总工期为:(28+35+35+21+21)天=140天。

经计算得知:实际关键线路为:A→B→D→G→K;

本工程实际总工期为:(140+10+7)天=157天。

2.事件1:可以获得工期索赔。理由:A工作因设计变更而停工,应由建设单位承担责任,且工作属于关键工作,因此可以获得工期索赔。

事件2:不可以获得工期索赔。理由:B工作因施工质量问题返工,应由施工总承包单位承担责任。

事件3:不可以获得工期索赔。理由:E工作供料延期而推迟施工,虽然是建设单位应承担责任,但E工作是非关键工作,总时差为28天,推迟3天未超过总时差28天,因此不可以获得工期索赔。

例题:某单项工程的进度计划网络图如下图所示:

原计划工期是170d,在第75天进行进度检查时发现:工作A已全部完成,工作B刚刚开工。由于工作B是关键工作,所以它拖后15d将导致总工期延长15d完成。

本工程各工作相关参数见下表所示。

问题:

1.为使本单项工程仍按原工期完成,必须调整原计划,问应如何调整原计划,才能既经济又保证整修工作在计划的170d内完成,列出详细调整过程并计算经调整后,所需投入的赶工费用。

2.重新绘制调整后进度计划网络图,并列出关键线路(以工作表示)。

解析:

1.(1)目前总工期拖后15d,此时关键线路为:B→D→H。

①工作B赶工费最低,故先对B进行压缩:B压缩5d,因此增加费用为:5×200=1000元;

总工期为:185-5=180d;关键线路为:B→D→H。

②剩余关键工作中,工作D赶工费率最低,故应对工作D持续时间进行压缩。工作D压缩的同时,应考虑与之平等的各线路,以各线路工作正常进展均不影响总工期为限。

工作D只能压缩5d,因此增加费用为:5×300=1500元;

总工期为:180-5=175d;关键线路:B→D→H和B→C→F→H。

【注意】此时有两条关键线路

③剩余关键工作中,存在三种压缩方式:同时压缩工作C、工作D;同时压缩F、D;压缩H。

同时压缩工作C和工作D的赶工费率最低,故应对工作C和工作D同时进行压缩。

工作C最大可压缩天数为3d,故本次调整只能压缩3d,因此增加费用为:3×100+3×300=1200元;

总工期为:175-3=172d;关键线路:B→D→H和B→C→F→H两条。

④剩下关键工作中,压缩工作H赶工费率最低,故应对工作H进行压缩。

工作H压缩2d,因此增加费用为:2×420=840元;总工期为:172-2=170d。通过以上工期调整,工作仍能按原计划的170d完成。

(2)所需投入的赶工费为:1000+1500+1200+840=4540元。

2.调整后的进度计划网络图如下图所示:

调整后其关键线路为:A→B→D→H和A→B→C→F→H。

例题:施工总承包单位进场后按合同要求提交了总进度计划,如图所示(时间单位: 天),并经过监理工程师确认。

问题:

确定该网络计划的关键线路、关键工作、计算工期。

答案:

1.该网络计划的关键线路为:A→B→D→F→H

2.该网络计划的关键工作为:A、B、D、F、H

3.该网络计划的计算工期为:1+5+4+6+11=27天。

02

进度管理—时标网络计划

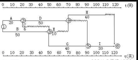
例题:某工程项目的时标网络进度计划如下:

1.关键线路的判断

两条关键线路:A→C→G→J,A→D→G→J

2.时间参数的识读

如:H 工作的持续时间为 40d,最早开始时间为 5 月 22 日,最早完成时间为 6 月 30 日,自由时差为10d

3.总时差的计算

如:H 工作的总时差=10+0=10 天

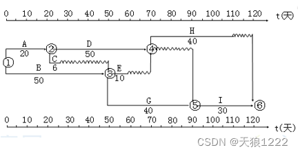
4.实际进度前锋线的绘制、分析

如果该工程进行到第 6 个月末时检查进度情况为:工作 F 完成 50%的工作量;工作 G 完成 80%的工作量;工作 H 完成 75%的工作量;在图中绘制实际进度前锋线,分析这三项工作进度有无偏差,并分别说明对工期的影响。

解析:

(1)F 工作拖延 20 天,影响紧后工作 I 最早开始时间 10 天,其有 10 天总时差,所以影响总工期 10 天。

(2)G 无进度偏差。

(3)H 工作延误 10 天,其有 10 天的总时差和自由时差,对紧后工作和总工期都无影响。

5.已知6月底该项目的已完工作实际费用为 500 万元,该项目各工作的预算费用详见下表(假定各项工作都均衡进行),根据上述 6 月底的进度检查结果,请用挣值法计算 6 月底的进度偏差、费用偏差、进度绩效指数、费用绩效指数。

解析: 6 月底三个费用值:

(1)计划工作预算费用=A+B+C+D+E+F+4/5G+H=30+60+25+30+150+60+4/5*100+40=475 万元(即计划线上的累计值)

(2)已完工作预算费用(挣得值)=A+B+C+D+E+1/2F+4/5G+3/4H=30+60+25+30+150+1/2*60+4/5*100+3/4*40=435 万元(即前锋线上的累计值)或=475-1/2F-1/4H=475-1/2*60-1/4*40=435 万元

(3)已完工作实际费用=500万元所以四个评价指标如下:

进度偏差=435-475=-40万元,表示进度拖延40万元未完成。

费用偏差=435-500=-65万元,表示费用超支65万元。

进度绩效指数=435/475=91.58%,表示进度拖延;

费用绩效指数=435/500=87%,表示费用超支。

双代号时标网络图

双代号时标网络图是将一般网络图加上时间横坐标。

绘制双代号时标网络图的基本符号:

1、用实箭线代表活动,其垂直部分用实线绘制,箭线在水平方向的投影长度表示活动的工期;

2、用波形线代表工序自由时差,其垂直部分用实线绘制;

3、用虚箭线代表虚工序(两个节点之间水平投影长度为0),虚箭线,表示虚活动,虚活动没有持续时间,只表示活动之间的逻辑关系;

4、节点,是指表示活动的开始、结束或连接关系的圆圈,反映的是前后工作的交接点。

如何画时标网络图:

(1)根据题目中对各个活动的工期和前后关系的描述或者表格,画出单代号网络图(用于确定

活动在时标网络图中的放置位置)。

(2)并用标号法求出关键路径和总工期,根据总工期画出时间刻度。(单位可以是天、周,一

般一个刻度为1天,或者1周,如果项目工期较长,可以一个刻度大于1天/1周,如2或5等)

(3)画时标网络图。(按照刻度及活动位置、活动关系逐个进行画图,包括活动、节点、自由

浮动时间等)

(4)检查网络图的正确性。(根据题目中的表、图等,检查活动历时、活动前后关系)

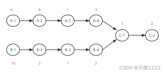
通过单代号网络图画时标网络图:

第一步画单代号网络图:

第二步求总工期: A -> C -> D -> H:5+3+4+5=17

第三步画时标网络图:活动有多个前序活动时,需把前序都画完才能画此活动,如C前面有A和B。

第四步:检查网络图的正确性。

关键指标:

关键路径:自始至终无波形线的路径;关键工作:关键路径上的工作均为关键工作。

下图中关键路径为: A-D-H(也可用①-②-⑥-⑧表示), 关键工作为: A、D、H。

自由时差的判定结论:

(1)如果该工作有波形线,则该工作的自由时差为该工作的波形线水平投影长度。

(2)如果该工作没有波形线,一般情况下,其自由时差为0;但当该工作的紧后工作全部为单纯波形线时,其紧接的波形线水平投影长度最短者为该工作的自由时差。

总时差的判定结论:

计算哪个工作的总时差,就以哪个工作的初始节点为起点(注意:既不是从头算,也不是从该工作的紧后算,而是从该工作的初始节点开始算) ,寻找通过该工作的所有路径,然后计算各条路径的波形线的长度之和,该工作的总时差为各条路径波形线长度之和的最小值。

(关于自由时差:也就是说,无波形线的工作自由时差不一定等于0。如图,E工作本身无波形线,但它的自由时差为1周。)

例题1:

某信息系统工程项目由ABCDEFG七个任务构成,项目组根据不同任务的特点,人员情况等,

对各项任务进行了历时估算并排序,并给出了进度计划,如下图:

(1)请指出该项目的关键路径、工期。

(2)本例给出的进度计划图叫什么图?还有哪几种图可以表示进度计划?

(3)请计算任务A、D和F的总时差和自由时差。

(4)若任务C拖延1周,对项目的进度有无影响?为什么?

参考答案:

(1)关键路径为B -> D -> E -> G, 工期为24周。

(2)本例的进度图为双代号时标网络图,表示进度的图还有单代号网络图、双代号网路图、甘特图等。

(3)A的自由时差=2 (周),A的总时差=3 (周)。

D为关键工作,其自由时差为0和总时差均为0。

F的自由时差=7 (周),F的总时差=7 (周)。

(4)没有影响;因为任务C在非关键路径上,且有1周的总时差,所以推迟1周对项目进度没有影响。

例题2:

已知某公司项目由ABCDEGHI八个活动构成,项目工期要求为100天。项目组根据初步历时估算、各活动间逻辑关系得出的初步进度计划网络图如下图所示(箭线下方为活动历时)。

【问题1】(7分)

(1)请给出该项目初步进度计划的关键路径和工期。

(2)该项目进度计划需要压缩多少天才能满足工期要求?可能需要压缩的活动都有哪些?

(3)若项目组将B和H均压缩至30天,是否可满足工期要求?压缩后项目的关键路径有多少条?关键路径.上的活动是什么?

参考答案(7分)

1、关键路径BGI (1分),工期120天(1分)

2、进度需要压缩20天(1分)才可以满足工期,可能压缩的活动有BGIADH活动(2分)。

3、若项目组将B和H均压缩至30天,可以满足。(1分)压缩后项目的关键路径有3条,两条关键路径. 上的活动分别是BGI与ADH、ADI (1分)

例题3:

【2019年上半年】某公司承接了一个软件外包项目,项目内容包括A、B两个模块的开发测

试项目经理:创建了项目的WBS (见下表),估算了资源期项目人力资源成本是1000元人/天

【问题1】(7分)

根据目前WBS安排,请计算项目的最短工期,并绘制对应的时标网络图。

【问题2】(10分)

项目开展11天后,阶段评审发现:模块A的修复工作完成了一半,回归测试工作还没有开始,模块B开发工作已经结束,准备进入单元测试。此时,项目已经花费了18万的人力资源成本。

(1)请计算项目当前的PV、EV、AC、CV、SV,并评价项目目前的进度和成本绩效。

(2)按照当前绩效继续进行,请预测项目ETC(写出计算过程,并计算结果精确到个位)。

【问题3】 (6分)

基于问题2,针对项目目前的绩效,项目经理应采取哪种措施保证项目按时完工?

答案:

先画出单代号网络图:

第二步求总工期: 20天。

第三步画时标网络图:活动有多个前序活动时,需把前序都画完才能画此活动,如C前面有A和B。

第四步:检查网络图的正确性。

【问题2】)(10分)

(1)AC=180000元;PV=141000元;EV=136000元;

CV=EV-AC=-44000元<0;成本超支;

SV=EV-PV=-5000元<0; 进度落后。

(2)按典型偏差公式计算:ETC=(BAC-EV)/CPI=37058.8235≈37059元

【问题3】(6分)

(1)赶工(投入更多的资源或增加工作时间,缩短关键活动的工期);

(2)快速跟进,并行施工;

(3)使用高素质的资源或经验更丰富的人员;

(4)减小活动范围或降低活动要求;

(5)改进方法或技术,以提高生产率;

(6)加强质量管理,及时发现问题,减少返工,从而缩短工期。

例题4:

某项目进入详细详细设计阶段后,项目经理为后续活动定义了如图所示的网络计划图,图中的“△”标志代表开发过程的一个里程碑,此处需进行阶段评审,模块1和模块2都需要通过评审后才能开始修复。

图2

项目经理对网络图中的各活动进行了成本估算,估计每人每天耗费的成本为1000元,安排了各活动的人员数量并统计了模块1、模块2的开发和测试活动的工作量(如表2所示),其中阶段评审活动不计入项目组的时间和人力成本预算,如表2所示。

表2

【问题1】参考答案(7分)

最短工期为20天(2分),绘制的双代号时标网络图如下: (5分)

先画出单代号网络图:

计算总工期: 8+3+1+2=14天。

再画出时标网络图:

原题问题:

[问题1] (3分)

请计算该项目自模块开发起至模块测试全部结束的计划工期。

[问题2] (10分)

详细设计完成后,项目组用了11天才进入阶段评审。在阶段评审中发现:模块1开发已完成,测试尚未开始;模块2的开发和测试均已完成,修复工作尚未开始,模块2的实际工作量比计划多用了3人•天。

(1)请计算自详细设计完成至阶段评审期间模块1的PV、EV、AC,并评价其进度和成本绩效。

(2)请计算自详细设计完成至阶段评审期间模块2的PV、EV、AC,并评价其进度和成本绩效。

[问题3] (8分)

(1)如果阶段评审未作出任何调整措施,项目仍按当前状况进展,请预测从阶段评审结束到软件集成开始这一期间模块l、模块2的ETC(完工尚需成本)(给出公式并计算结果)。

(2)如果阶段评审后采取了有效的措施,项目仍按计划进展,请预测从阶段评审结束到软件集成开始这一期间模块1、模块2的ETC(完工尚需成本)(给出公式并计算结果)。

[问题4] (4分)

请结合软件开发和测试的一般过程,指出项目经理制定的网络计划和人力成本预算中存在的问题。

答案:

问题1】 (3分)

计划工期:8+3+1+2=14天。

【问题2】 (10分)

(1) 自详细设计完成至阶段评审期间模块1的PV、EV、AC,并评价其进度和成本绩效。

PV=(48+3)*1000=51000元。 (1分)

EV=48*1000=48000元。(1分)

AC=8*1000*11=88000元。(1分)

CPI=EV/AC=0.55,成本超支。(1分)

SPI=EV/PV=0.94,进度滞后。 (1分)

(2) 自详细设计完成至阶段评审期间模块2的PV、EV、AC,并评价其进度和成本绩效。

PV=(80+3)*1000=83000元。 (1分)

EV=PV=83000元。(1分)

AC=83000+3*1000=86000元。(1分)

CPI=EV/AC=0.97,成本略有超支。(1分)

SPI=EV/PV=1,进度与计划相符。 (1分)

【问题3】(8分)

(1)如果阶段评审未作出任何调整措施,项目仍按当前状况进展,请预测从阶段评审结束到软件集成开始这一期间模块1、模块2的ETC(完工尚需成本)(给出公式并计算结果)。

ETC1=(BAC-EV)/CPI=(51000+8000+2000-48000)/(48000/88000)=23833元。(2分)

ETC2=(BAC-EV)/CPI=(83000+10000+2000-83000)/(83000/86000)=12000/(83/86)=12434元。(2分)

(2)如果阶段评审后采取了有效的措施,项目仍按计划进展,请预测从阶段评审结束到软件集成开始这一期间模块1、模块2的ETC(完工尚需成本)(给出公式并计算结果)。

ETC1=(BAC-EV =(51000+8000+2000-48000) =13000元。 (2分)

ETC2=(BAC-EV)=(83000+10000+2000-83000) =12000元。 (2分)

【问题4】(每点1分,共4分)

1、网络计划图中缺少系统测试、试运行和验收活动。

2、集成测试应在安装调试之前进行。

3、里程碑时间点设置不合理,不应设置在单元测试阶段中间。

4、评审活动应计入项目组的时间和成本预算。

5、模块2的开发工作量明显多于模块1,其测试工作量一般也应大于模块1,但本题中是相同的。

总结

画双代号时标网络图,先画出单代号网络图,再计算出总工期,再根据工期去画图,最后检查网络图的正确性。

最后

以上就是谨慎机器猫最近收集整理的关于双代号网络图、双代号时标网络图、单代号网络图精讲的全部内容,更多相关双代号网络图、双代号时标网络图、单代号网络图精讲内容请搜索靠谱客的其他文章。

本图文内容来源于网友提供,作为学习参考使用,或来自网络收集整理,版权属于原作者所有。
点赞(226)

评论列表共有 0 条评论

立即
投稿
返回
顶部