文章主要罗列六种基本连续时间信号,并简要说明各信号间关系。
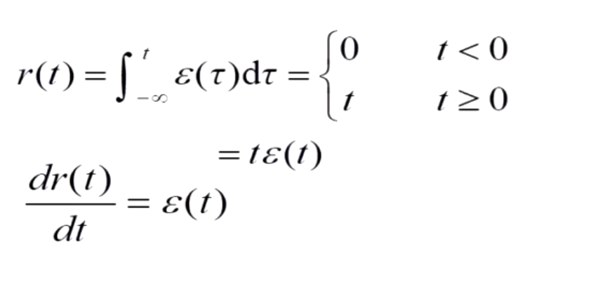
1.单位斜变信号
(1)图像

(2)数学描述

2.阶跃信号
(1)图像

(2)数学描述

(3)延迟时间阶跃函数


(4)其它特性
单边特性、加窗特性
(5)信号间关系

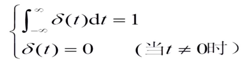
3.单位冲击信号
(1)物理意义
冲击信号反应一种持续时间短,函数值极大的脉冲信号的极限。
(2)单位冲击函数


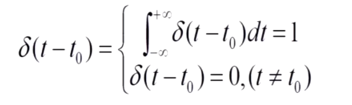
(3)延迟单位冲击


(4)性质
筛分性质

采样性质

(5)关系
冲击信号与阶跃信号互为微分积分。


4.冲击偶信号
(1)图像

(2)性质
筛分性质

采样性质

5.指数信号
(1)数学描述


(2)图像

(3)复指数信号

复指数信号实部绝对值反应信号强度,虚部反应信号震荡频率。
(4)复指数信号标示正余弦函数

6.采样信号
(1)数学描述

(2)图像

最后
以上就是沉默巨人最近收集整理的关于信号与系统(2)——基本连续时间信号的全部内容,更多相关信号与系统(2)——基本连续时间信号内容请搜索靠谱客的其他文章。
本图文内容来源于网友提供,作为学习参考使用,或来自网络收集整理,版权属于原作者所有。
发表评论 取消回复