这个问题并不难,仅供使用何子述老师《信号与系统》教材并且纠结下图中是否写错的考研学子参考。
我在复习阶段也纠结过这个问题,而且发现很多研友也都怀疑书上写错了。

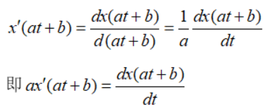
这个问题涉及到抽象复合函数的求导。
首先要知道,

并且,

建议在考试中,写d/dt形式不容易错。
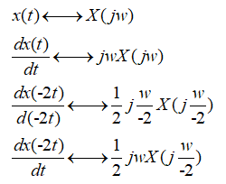
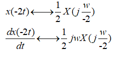
例如,

考试的时候还是像何老师书上这样写吧,

最后
以上就是幽默台灯最近收集整理的关于关于f‘(at+b)的傅里叶变换的全部内容,更多相关关于f‘(at+b)内容请搜索靠谱客的其他文章。
本图文内容来源于网友提供,作为学习参考使用,或来自网络收集整理,版权属于原作者所有。
发表评论 取消回复