集合关系证明的基本原则
外延性原则
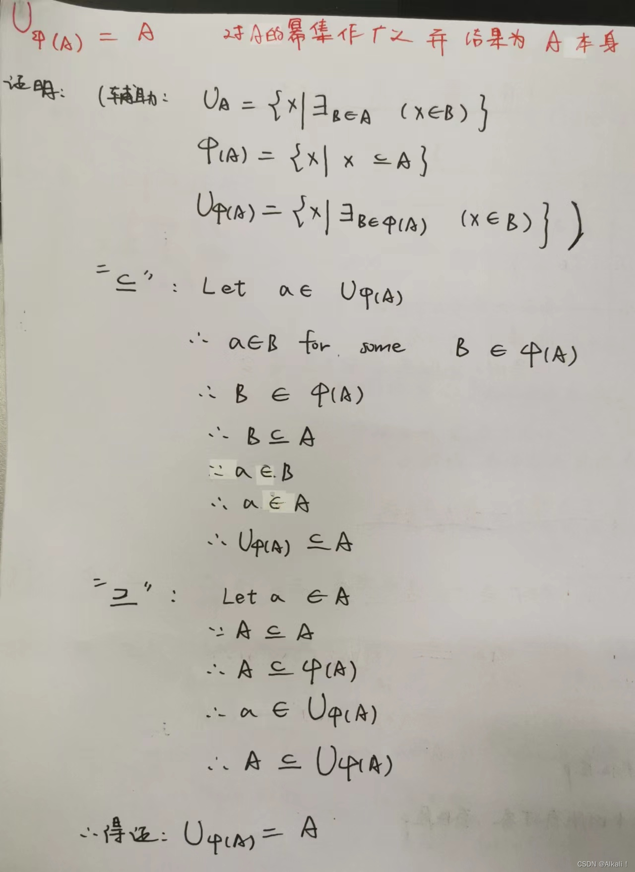
证明两个集合互相包含
当有基本结论时,就可以直接用而不需要全用外延性原则。
对S − > -> −>P or Q形式的证明思路
- 1:非P S 推出 Q
- 2:非Q P 推出 P
- 3:非P 非Q 推出矛盾
- 4:利用p析取非p这样的永真式进行分类讨论
关于空集

关于补集


幂等律、吸收律、双重否定等于肯定

集合相减转化为集合∩

德摩根定律



交对减的分配

异或运算





广义的交、并


最后
以上就是忧郁航空最近收集整理的关于离散数学复习二:空集、补集、德摩根定律、异或、广义交和广义并的全部内容,更多相关离散数学复习二内容请搜索靠谱客的其他文章。
本图文内容来源于网友提供,作为学习参考使用,或来自网络收集整理,版权属于原作者所有。
发表评论 取消回复