关于QPSK的一些整理
- 基础
- 推导
- Modulation
- Demodulation
- Matlab 仿真
基础
QPSK(Quadrature Phase Shift Keying)正交相移键控,是一种已相位不同来区分数据的调制方式。
其调制和解调的基本结构如下图所示。


推导
Modulation
1、A点:首先信号0和1经过电平产生,分别生成-1和+1的信号。
2、B点:±1信号和coswt或sinwt相乘会出现四种结果,如下:
| code | 信号 | 图像 |
|---|---|---|
| +1 | sin(wt) | ![]() |
| -1 | -sin(wt) | ![]() |
| +1 | cos(wt) | ![]() |
| 1 | -cos(wt) | ![]() |
3、C点
-
重要的三角公式:cos(a±b)=cosacosb∓sinasinb
-
±sinwt和±coswt相加一共有四种组合,并且结果如下:

Demodulation
1、D点:在解调端收到的信号是QPSK经过AWGN(高斯白噪信道)后的信号。
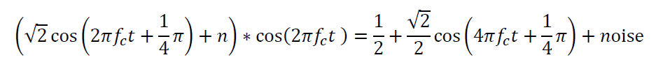
2、E点:信号分别与cos和sin的本地载波相乘,会发生如下的变化:
- 观察上式,经过相乘一共存在3个分量:一个常量,一个高频分量,一个噪声.
- 噪声先不予讨论,这部分一般会在信号处理前进行滤波去除,另一方面QPSK系统可以允许一定程度的噪声,不会对解调造成影响
3、F点:高频分量是不需要的成分,在之后的lowpass滤波器中进行了滤除
4、G点:常量是我们需要的分量,我们依靠常量的正负来判断接收的数据。
| 常量正负 | 抽样判决结果 |
|---|---|
| +1/2 | +1 |
| -1/2 | -1 |
5、H点:两路信号进行组合,得到发射信号。
Matlab 仿真
之后补上。
最后
以上就是健康雪糕最近收集整理的关于QPSK原理基础推导Matlab 仿真的全部内容,更多相关QPSK原理基础推导Matlab内容请搜索靠谱客的其他文章。
本图文内容来源于网友提供,作为学习参考使用,或来自网络收集整理,版权属于原作者所有。




发表评论 取消回复