1. 概念
锁存器-latch :是电平触发的存储单元, 数据存储的动作只取决于 输入信号 的电平值 ,只有当锁存器处于使能 状态, 输出才会随着 输入发生变化;
触发器-Flip flops: 当收到 输入脉冲时,又称为触发。触发器 输出会根据 规则 改变 状态,然后保持这种状态直到 收到 另一个 触发 ;
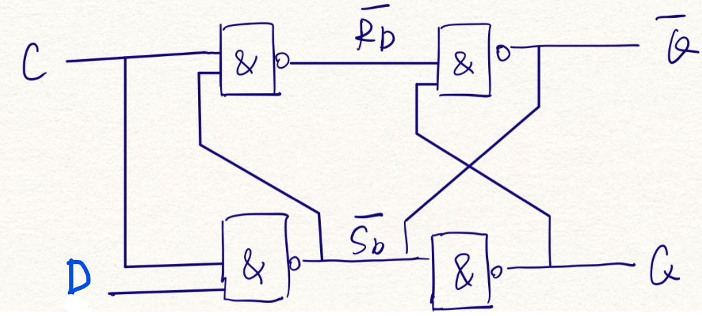
D锁存器

-
当C被拉高时,Q的状态随着D的状态变化
-
当C被拉低时,锁存此时D的状态、
主从D触发器
触发器是边沿触发的。主从D触发器可以很好地解决空翻现象

-
F1为主触发器,F2为从触发器
-
主从D触发器为边沿触发 当激励产生,CLK=0,D=1,F1工作,此时Q1=1,但F2只能等到下一拍才可触发。下一拍CLK=1,Q1=1,F2工作,Q=1。
-
可以有效解决空翻 (即当Clk有效,D不断变化时,一次时钟来到期间,触发器多次翻转 )

2. 两者区别
a, latch 同 所有的输入信号相关,当输入信号变化时,latch 就会变化;
DFF 由 时钟沿触发, 只有当时钟触发时,才会采样当前的输入,产生输出;
两者都是时序逻辑,都会与 上一时间 的输出相关;
b, latch 是电平触发,非同步控制;
DFF由时钟沿 触发,同步控制;
c, latch 对电平敏感,受布局影响打,容易产生毛刺;
DFF不易产生毛刺;
d, 如果使用 门电路 搭建 latch 和 DFF, 则 latch 消耗的门 资源比DFF 要少, 这是latch 优越的 地方;
但是 latch 会将静态时序分析变得 极为复杂,在大多设计中 都避免产生 latch, 其会让设 计 的时序出现 问题 且 很难排查, 另一个危害是 不能过滤 毛刺,在下一级电路中很危险;
锁存器对毛刺敏感

触发器可以过滤毛刺

3. 两者代码
锁存器
Module D_latch(d,clk,q);
Input d;
Input lck;
Output reg q;
always@(clk or d)
if(clk) q<=d;
endmodule
触发器
Module D_ff(d,clk,q);
Input d;
Input lck;
Output reg q;
always@( posedge clk)
q<=d;
endmodule
异步低有效D触发器
module code(clk,rst_n,d,q);
input clk;
input rst_n;
input d;
output reg q;
always @( posedge clk or negedge rst_n)
begin
if(!rst_n)
q <= 1'b0;
else
q <= d;
end
endmodule
异步高有效D触发器
module code(clk,rst,d,q); //关于高有效还是低有效,都是驱动clk对输出端进行使能,有效 即为输 出为0,并不是输出要等于复位信号的值。
input clk;
input rst;
input d;
output reg q;
always @( posedge clk or posedge rst )
begin
if(rst)
q <= 1'b0;
else
q <= d;
end
endmodule
注意:关于高有效还是低有效,都是驱动clk对输出端进行使能,有效 即为输出为0,并不是输出要等于复位信号的值。
同步高有效D触发器
module code(clk,rst,d,q);
input clk;
input rst;
input d;
output reg q;
always @( posedge clk)
begin
if(rst)
q <= 1'b0;
else
q <= d;
end
endmodule
注: 上述图片来自于网络;
最后
以上就是平淡小猫咪最近收集整理的关于锁存器 和 触发器的全部内容,更多相关锁存器内容请搜索靠谱客的其他文章。
发表评论 取消回复