数字IC设计——用Verilog实现序列检测器(有限状态机)
序列检测器在数据通讯,雷达和遥测等领域中用与检测步识别标志。它是一种用来检测一组或多组序列信号的电路。例如检测器收到一组串行码{1110010}后,输出标志1,否则,输出0。
一、“101” 序列检测器
序列检测器:有“101”序列输入时输出为1,其他输入情况下,输出为0。画出状态转移图,并用Verilog描述。
- 先分析输入序列时,产生的结果
序列检测器就是将一个指定序列从数字码流中识别出来。本例中将设计一个“101”序列的检测器。设X为数字码流的输入,Z为检测出标记输出,高电平表示发现指定的序列101.考虑码流为10101010101…则
| 时钟 | 1 | 2 | 3 | 4 | 5 | 6 | 7 | 8 | 9 | 10 | 11 |
|---|---|---|---|---|---|---|---|---|---|---|---|
| 输入X | 1 | 0 | 1 | 0 | 1 | 0 | 1 | 0 | 1 | 0 | 1 |
| 输出Z | 0 | 0 | 1 | 0 | 1 | 0 | 1 | 0 | 1 | 0 | 1 |
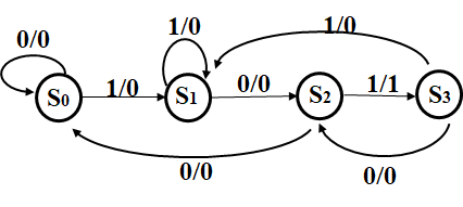
- 将上述功能转化为状态转移图:

- 用Verilog语言描述状态机
module Detect_101(
input clk,
input rst_n,
input data,
output flag_101
);
parameter S0 = 0,
S1 = 1,
S2 = 2,
S3 = 3;
reg [1:0] state;
always @(posedge clk or negedge rst_n)begin
if(rst_n == 1'b0)begin
state <= S0;
end
else begin
case(state)
S0:
if(data == 1)
state <= S1;
else
state <= S0;
S1:
if(data == 0)
state <= S2;
else
state <= S1;
S2:
if(data == 1)
state <= S3;
else
state <= S0;
S3:
if(data == 1)
state <= S1;
else
state <= S2;
default:
state <=S0;
endcase
end
end
assign flag_101 = (state == S3)? 1'b1: 1'b0;
endmodule
采用三段式状态机将时序逻辑和组合逻辑分开,把状态和输出单独列开,方便检查和维护。可以写成如下:
module Detect_101(
input clk,
input rst_n,
input data,
output flag_101
);
parameter S0 = 0,
S1 = 1,
S2 = 2,
S3 = 3;
reg [1:0] state;
reg [1:0] next_state;
wire flag_101;
always @(posedge clk or negedge rst_n) begin
if (! rst_n)
state <= S0;
else
state <= next_state;
end
always @(*)begin
case(state)
S0:
next_state = (data) ? S1:S0;
S1:
next_state = (data) ? S1:S2;
S2:
next_state = (data) ? S3:S0;
S3:
next_state = (data) ? S1:S2;
default:
state = S0;
endcase
end
always @(*)begin
if (! rst_n)
flag_101 = 1'b0;
else if (state == S3)
flag_101 = 1'b1;
else
flag_101 = 1'b0;
end
endmodule
- 需要注意的地方
由于对于 有“101”序列输入时输出为1,其他输入情况下,输出为0。
在画状态转移图的时候,只要有101的序列输出就会输出为1

但是有时会出现如下情况,即输出完101序列后,状态机又回到初始状态重新检测101序列:

因此状态转移又会发生变化:

二、“10101” 序列检测器
分析这个序列的状态转移图时,当状态机的个数,状态转移发生变化时,也会有不同的结果:
- 当有五个状态机时,有如下两种状态转移图:



2. 在设计状态机时,应注意合理选择状态机数量,以及状态转移的路径。
三、序列检测器设计的思路步骤
总统设计思路:
1.列出检测器的逻辑功能
2.画出状态图,注意多余的状态图。
3.设计代码
4.写测试代码
5.时序仿真
最后
以上就是安静发箍最近收集整理的关于数字IC设计——用Verilog实现序列检测器(有限状态机FSM)的全部内容,更多相关数字IC设计——用Verilog实现序列检测器(有限状态机FSM)内容请搜索靠谱客的其他文章。
本图文内容来源于网友提供,作为学习参考使用,或来自网络收集整理,版权属于原作者所有。
发表评论 取消回复