我是靠谱客的博主 腼腆砖头,这篇文章主要介绍matlab step函数_基于MATLAB的频域分析一、实践目的二、实践内容三,实践要求,现在分享给大家,希望可以做个参考。

一、实践目的

1、利用计算机作典型环节和开环系统的波特图、极坐标图和尼尔科斯图。

2、观察记录控制系统的开环频率特性。

3、控制系统的开环频率特性分析。

二、实践内容

1、绘制开环系统

d6429460773a5296b3bffa2fba40e4c4.png

的BODE图,计算出该系统的稳定裕度, 并判断闭环系统的稳定性。【N=135】

2、作开环系统

0d41bcb9ee1a5836c560a8b191e519ef.png

的波特图、奈奎斯特图和尼尔科斯图,记录并观察曲线,依此分析闭环系统的性能。【K=13.5】

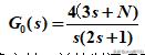
3、系统开环传递函数为:

3af12327571ca3eacd38d665987a4f7e.png

做出nyquist图,按nyquist稳定判据判断闭环系统的稳定性,并绘制闭环系统的阶跃响应曲线来验证其稳定性。(N同题1)

三,实践要求

1、根据内容要求,写出的MATLAB程序,及对应的结果、曲线等。

2、实验中需要判定系统稳定性及性能分析的,需要给出理由。

四、结果

1.

a) 程序代码

s=tf('s')G=(s+135/100)/(4*s^3+3*s^2+2*s) %系统开环传递函数bode(G) %系统Bode图 margin(G) %带有裕度的Bode图[Gm,Pm]=margin(G) %幅值裕度,相角裕度

幅值裕度(Gm),相角裕度(Pm)分别是

1a2012014b46cfc670308ead3c7dccd6.png

b) 程序运行结果

158d676e6906018a4e2634d20051967f.png

分析:从上图可以看出,开环传递函数,幅值裕度Gm>0,相角裕度Pm>0,所以系统是稳定的。

2.

a)

程序代码

num=135/10;den=[0.1 1.001 0.01 0]G=tf(num,den) figure(1);margin(G) %绘制系统的Bode图figure(2);nyquist(G) %绘制系统的奈奎斯特图w=logspace(-1,2,100); %给定频率范围figure(3); nichols(num,den,w); %绘制系统的尼尔科斯图ngrid;

b) 波特图

b6950765f6bffb7b7507b7edc940e917.png

奈奎斯特图

678b4bcce60d8e8468a5a6383c744545.png

c) 尼尔科斯图

2cf611397d029747f61fa3548e394302.png

分析::从上图可以看出,开环传递函数,幅值裕度Gm<0,相角裕度Pm<0,所以系统是稳定的。

3.

a)

程序代码

num=[12 4*1.35];den=[2 1 0];G=tf(num,den)figure(1);nyquist(G) %绘制系统的nyquist图figure(2);step(feedback(G,1))%绘制系统的阶跃响应曲线figure(3);

b) nyquist图

78d4da0a7b14297af1b9040bdf06046f.png

c) 系统的阶跃响应曲线

3d284f45fd5b1a6955cba6645f38cf34.png

d) 分析:从上图中可以看出,开环系统nyquist图,不包围(-1,j0)点,且开环系统,可以判断,系统是稳定的。

最后

以上就是腼腆砖头最近收集整理的关于matlab step函数_基于MATLAB的频域分析一、实践目的二、实践内容三,实践要求的全部内容,更多相关matlab内容请搜索靠谱客的其他文章。

本图文内容来源于网友提供,作为学习参考使用,或来自网络收集整理,版权属于原作者所有。
点赞(182)

评论列表共有 0 条评论

立即
投稿
返回
顶部