我是靠谱客的博主 沉默微笑,这篇文章主要介绍关于迭代学习控制的一些基础知识,现在分享给大家,希望可以做个参考。

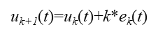
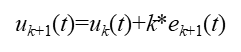
** 迭代学习控制过程类似于人类的学习过程,它是一种通过不断的试错来不断缩小实际与期望的误差值的学科,就像人类刚出生后学习使用手臂去拿东西时,第一次肯定是失败的,然后通过不断的失败获得的经验来不断缩小与手臂与所获得物品的距离。迭代学习控制是通过寻找一种控制律来不断更新系统的控制经验从而使得我们的实际轨迹不断接近期望的轨迹。它应用于打印机的打印,无人机的飞行,机械臂的反复运动过程。迭代学习的控制律非常多,比如最简单的P型迭代控制律,即将迭代学习控制与PID控制相结合,P型迭代学习控制有两种,一种是开环的控制,另一种是闭环的控制,开环的迭代学习控制律公式如下所示:开环迭代学习控制律,式子中的u(k+1)为第(k+1)次迭代的控制经验,u(k)为第k次迭代的控制经验,e(k)为第k次迭代跟踪误差,k是学习增益。闭环迭代学习控制律同理:闭环迭代学习控制律。可以上谷歌学术搜一下许建新与侯忠生两位先生写的“学习控制的现状与展望”,写的很好。**

最后

以上就是沉默微笑最近收集整理的关于关于迭代学习控制的一些基础知识的全部内容,更多相关关于迭代学习控制内容请搜索靠谱客的其他文章。

本图文内容来源于网友提供,作为学习参考使用,或来自网络收集整理,版权属于原作者所有。
点赞(256)

评论列表共有 0 条评论

立即
投稿
返回
顶部