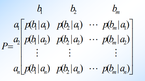
1 信道转移矩阵
信道转移矩阵能够反映输入和输出的统计依赖关系

1.1 信道分类
信道可以分为无干扰信道和有干扰信道
无干扰:输入和输出之间有确定的一一对应关系
有干扰:输入和输出是一种统计依存的关系




研究信道的目的:讨论信道中每个符号能够传送的信息量,信道信息传输率。
使用平均互信息量I(X;Y)表示


每个符号所能含有的平均互信息量的最大值,相应输入分布称为最佳分布。
信道容量C与信源无关,只是信道转移概率的函数,不同的信道就有不同的信道容量,它反映了信道本身的传信能力。
最后
以上就是内向棒球最近收集整理的关于信息论-信道容量1 信道转移矩阵的全部内容,更多相关信息论-信道容量1内容请搜索靠谱客的其他文章。
本图文内容来源于网友提供,作为学习参考使用,或来自网络收集整理,版权属于原作者所有。
发表评论 取消回复