目录
一、前言
二、错误概率和译码规则
2.1、错误概率
2.2、译码规则
三、最大后验概率准则与最大似然译码准则
3.1、最大后验概率准则(MAP)
3.2、最大似然译码准则(ML)
3.3、举个栗子
四、费诺不等式
五、错误概率与译码方法
六、码字距离
6.1汉明距离
6.2最小距离译码准则
七、纠错能力与检测能力
八、香农第二定理
互联网的广大朋友们,大家好!即将迈入期末的坟墓,我们一起走进信息论的知识总结。由于我复习的顺序可能不是按目录走,如果你想看完整版的,请订阅我的信息论专栏。我会尽快更新的!!!
一、前言
1、信道编码目的:提高通信系统的可靠性,尽可能将消息通过传输前后所发生的错误率降到最低。 (考过)
2、信道编码:按一定规则给信源编码的码符号序列增加一定的冗余信息,时期变为具有一定数学规律的码符号序列。(加冗余的过程)
3、信道译码:接收到码符号序列后,按照与信道编码器相同的数学规律,去掉符号序列中的冗余符号。(去冗余的过程)
二、错误概率和译码规则
2.1、错误概率
1.1 在有噪信道中传输消息是会发生错误的,为了减少错误,提高可靠性,首先分析错误概率与哪些因素有关。
与错误概率有关的因素:
- 信道统计特性 (p199)
- 译码的规则
2.2、译码规则
假设输入符号集X={
}, 输出符号集Y={
}。若每一个输出符号
,都能找到一个特定的函数
对应唯一的一个输入符号
。
即:
(j=1,2,3,…,s;i=1,2,3,…,r) (这就是译码规则)
译码规则不同,正确或错误的概率也就不同。
例如:有一个单符号信道,信道矩阵为:
,矩阵的横表示
,列表示
。我设计一个译码规则:
意思是,每输入符号
,都能找到一个特定的函数
对应唯一的输入符号
;每输入符号
,都能找到一个特定的函数
对应唯一的输入符号
;每输入符号
,都能找到一个特定的函数
对应唯一的输入符号
。
三、最大后验概率准则与最大似然译码准则
译码规则的选择需要根据平均错误概率为最小的选择,那什么是平均错误概率,以及如何计算?
平均错误概率:经过译码后平均接收到一个符号所产生的错误大小。
正确译码概率: (后验概率:在输出已知情况下,输入的概率)
错误译码概率:
3.1、最大后验概率准则(MAP)
按照
定义的译码规则,叫最大后验概率准则或者叫最小错误概率准则。(考点)
解题步骤:
第一步:转移概率矩阵乘以得到联合概率分布矩阵。
第二步:以每列矩阵的最大概率相对应的输入概率作为译码准则。
第三步:所有译码结果对应的联合概率之和为正确概率,矩阵中其余元素之和为错误概率。
3.2、最大似然译码准则(ML)
通常情况下,最大后验概率未知,从而介绍极大似然译码准则。
按照
定义的译码规则,叫最大似然译码准则。(考点)
解题步骤:
第一步:以转移概率矩阵每列中最大的一个元素对应的作为译码准则。
第二步:假如是等概率输入,所有译码准则所对应的转移概率之和乘以为正确概率,其余矩阵元素之和乘以
为错误概率。(其中
是等概率分布的概率)假如输入的不是等概率,就是每一行译码准则乘以对应
之和即为正确概率,每一行的其余元素乘以对应的
之和即为错误概率。
看到这里晕了吗????上栗子吧。。。
3.3、举个栗子
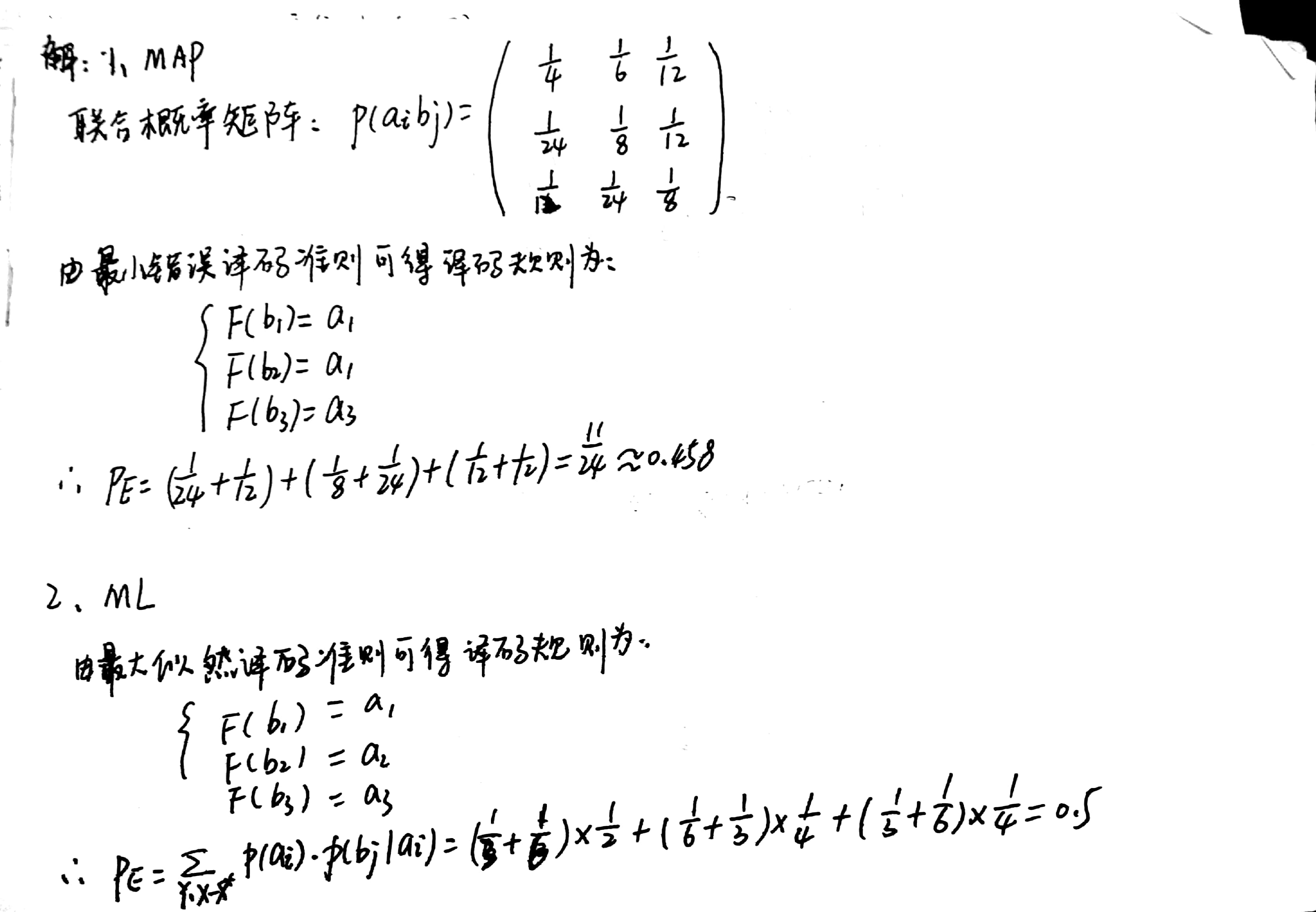
第一个栗子:
若信道矩阵
,设输入概率为
,分别根据最小错误概率准则和最大似然译码准则确定译码规则,求得平均错误概率。(第一个栗子我详细写,其余内容都一样,不再详细,所以你一定要先看懂我第一个栗子。)


第二个栗子:
设有一离散无记忆信道,矩阵信道为
,若
。试分别按最小错误概率准则与最大似然译码准则确定译码规则,并计算相应的平均错误概率。

四、费诺不等式
平均错误概率
与译码规则有关,译码规则又由信道特性来决定,故平均错误概率
与信道统计特性存在联系,且平均错误概率与信道疑义度
满足不等式:
说明:
- 不论采用什么译码准则,费诺不等式均成立。
- 信道疑义度由两部分组成:
:是否发生错误的不确定性。即收到y后产生值为
的平均错误概率的平均不确定度。
- 当错误发生后,确定由(r-1)个输入符号中哪一个引起的错误的不确定,其最大值为
物理意义:当信源、信道给定时,信道疑义度就给定了译码错误的下限。
五、错误概率与译码方法
- 对于给定信道,输入符号概率一定时,选择译码规则可使得
最小。
- 一般数字通信系统要求平均错误概率
在
和
数量级,甚至更低。
- 费诺不等式表明,要进一步降低
,仅仅制定译码规则已经不够了,需要对信道的输入符号进行编码。
二元信道中,有什么办法使得错误概率降低吗?
在发送端把消息重复发送几遍,也就是增加消息的传输时间,就可使得在接收端接收信息时错误减小,从而提高了通信的可靠性。
简单重复编码:在发送端把消息多重复几遍,可以是接收端接收信息时错误概率减小。(比如说,你妈叫你回家吃饭,你第一遍没听到,那么再来一次,你妈叫你回家吃饭。)
在二元对称信道中,发送消息0和1,采用简单重复编码,将长度n=1的两个二元序列变为长度n=3的二元序列,那么我们称这两个长度为3的二元序列为码字,于是信道输入端就有两个码字000和111。但是在输出端,由于信道干扰的作用,码字中各个码元都有可能发生错误,那么就有可能发生8种可能的输出序列。分别为000,001,010,011,100,101,110,111。这样的一种信道可以将其看成三次无记忆扩展信道。
信道矩阵如下:

信息传输率(码率):
(比特/码符号)
若传输每个码符号平均需要t秒钟,则编码后单位时间传输的信息量:
(比特/秒)
六、码字距离
6.1汉明距离
- 长度为n的两个符号序列(码字)
和
之间的距离是指
和
之间对应位置上不同码元的个数,用符号D(
)表示,简称
。
- 在某一码C中,任意两个码字的汉明距离的最小值称为该码C的最小距离。最小距离
与该码的错误概率有关。
6.2最小距离译码准则
越大,
越小,
越小,
越大。我们可以将最大似然译码准则与最小距离译码准则联系起来。

最后的解题步骤类似最大似然译码准则。。。。
七、纠错能力与检测能力
编码可以纠正
个及以内错误的充要条件是:
编码可以检测
个及以内错误的充要条件是:
举个栗子:

八、香农第二定理
内容:设有一离散无记忆平均信源,其信道容量C,若编码信息率R<C,当码长n足够大时,则至少存在一种编码,使得译码错误概率任意小;相反,若信息传输率R>C,则码长无论多大,总也找不到是译码错误概率任意小的编码。
说明:
- “高效率,高可靠性”的信道编码存在,但未指出具体方法,该定理指出来信道编码的极限性能,为信道编码的研究指明方向。
- 高效率:信息传输率接近信道容量。
- 高可靠性:译码差错任意小。
- 存在这种信道编码的必要条件为:R<C
最后
以上就是温柔钻石最近收集整理的关于第六章——有躁信道编码定理一、前言 二、错误概率和译码规则 三、最大后验概率准则与最大似然译码准则四、费诺不等式 五、错误概率与译码方法 六、码字距离 七、纠错能力与检测能力八、香农第二定理 的全部内容,更多相关第六章——有躁信道编码定理一、前言 二、错误概率和译码规则 三、最大后验概率准则与最大似然译码准则四、费诺不等式 五、错误概率与译码方法 六、码字距离 七、纠错能力与检测能力八、香农第二定理 内容请搜索靠谱客的其他文章。
发表评论 取消回复