目录
- 一、实验目的:
- 二、实验原理:
- 1.离散时间傅里叶变换(DTFT)
- 2.离散LTI系统的频率响应
- 3.对X(z)部分分式展开
- 三、作业:
- 更多相关文章点这里哦
一、实验目的:
1.掌握离散时间信号和系统的频域分析方法;
2.学会利用MATLAB函数对离散时间信号和系统的频域进行计算。
二、实验原理:
1.离散时间傅里叶变换(DTFT)
序列的离散时间傅里叶变换(DTFT)
定义为:

通常
是实变量Ω的复函数。实例程序演示如下:
【例3.1】求有限长序列
的DTFT,并画出它的幅度谱,相位谱,实部和虚部。
clear all
x=[1,2,3,4,5];
k=-1:3;
w=linspace(0,2*pi,512);
H=x*exp(-j*k'*w);
subplot(2,2,1);plot(w,abs(H));ylabel('幅度'); %画幅度特征曲线
subplot(2,2,2);plot(w,angle(H));ylabel('相角'); %画相位特征曲线
subplot(2,2,3);plot(w,real(H));ylabel('实部'); %画幅度实部特征曲线
subplot(2,2,4);plot(w,imag(H));ylabel('虚部'); %画幅度虚部特征曲线
其程序运行结果如下:

2.离散LTI系统的频率响应
利用MATLAB提供的freqz函数可以计算离散信号的频谱或离散系统频率响应的抽样值。若信号的频谱
表示为
的有理多项式
则freqz函数其调用格式为:
X=freqz(b,a,w)
其中,X为系统频谱,w是抽样的频率点,b和a分别为离散LTI系统的系统函数的H(z)的分子和分母多项式系数。
说明:不带输入向量时freqz函数将自动绘出频率响应的幅频和相频特性曲线。
【例3.2】已知离散系统的H(z)为:

试画出该系统的幅度响应。
程序如下:
clear all
b1=[0.5009 -1.0019 0.5009];
b2=[0.5320 1.0640 0.5320];
a1=[1 -0.8519 0.4167];
a2=[1 0.8519 0.4167];
b=conv(b1,b2); %计算H(z)的分子多项式系数
a=conv(a1,a2); %计算H(z)的分母多项式系数
w=linspace(0,pi,512);
h=freqz(b,a,w);
plot(w/pi,abs(h));
运行结果:

3.对X(z)部分分式展开
MATLAB提供了计算序列z变换X(z)的部分分式展开函数,其调用格式为:
[r,p,k]=residuez(b,a)
其中, b和a分别为用
表示X(z)的分子和分母多项式的系数。 若 X(z)的部分分式展开为:

则residuez的返回参数r,p,k分别为



residuez也可以用于由 r,p,k计算
表示X(z)的分子和分母多项式的系数,其调用格式为:
[b,a]=residuez(r,p,k)
- X(z)的零极点函数
函数zplane可以画出X(z)的零极点坐标图,其调用格式是:
zplane(b,a)
[例3.3]试用MATLAB计算

的部分分式展开。并画出X(z)的零极点图。
程序如下:
clear all
b=[1.5,0.98,-2.608,1.2,-0.144];
a=[1,-1.4,0.6,-0.072];
[r,p,k]=residuez(b,a);
disp('留数');disp(r');
disp('极点');disp(p');
disp('常数');disp(k);
zplane(b,a);
程序的运行结果为:
留数
0.7000 0.5000 0.3000
极点
0.6000 0.6000 0.2000
常数
02

三、作业:
1.已知序列
画出该序列DTFT
的实部、虚部、幅度谱和相位谱。并分析
的特点。
clear all
k=-10:10;
x=cos(pi*k/20);
w=linspace(0,2*pi,512);
H=x*exp(-j*k'*w);
subplot(2,2,1);plot(w,abs(H));ylabel('幅度'); %画幅度特征曲线
subplot(2,2,2);plot(w,angle(H));ylabel('相角'); %画相位特征曲线
subplot(2,2,3);plot(w,real(H));ylabel('实部'); %画幅度实部特征曲线
subplot(2,2,4);plot(w,imag(H));ylabel('虚部'); %画幅度虚部特征曲线
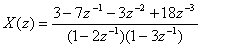
2.利用MATLAB函数计算
的部分分式展开的各子系统的分子、分母多项式的系数。根据计算结果写出表达式。
clear all
b=[3,-7,-3,18];
a1=[1,-2];
a2=[1,-3];
a=conv(a1,a2);
[r,p,k]=residuez(b,a);
disp('留数');disp(r');
disp('极点');disp(p');
disp('常数');disp(k);
zplane(b,a);
留数
3.0000 -2.0000
极点
3.0000 2.0000
常数
2 3

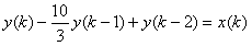
3.离散稳定的LTI系统的差分方程为
,画出该系统的频率响应函数
,幅度谱
,相位谱
及其零极点图。
clear all
b=[1];
a=[1,-10/3,1];
w=linspace(-pi,pi,512);
h=freqz(b,a,w);
subplot(1,2,1);plot(w/pi,abs(h));ylabel('幅度'); %画幅度特征曲线
subplot(1,2,2);plot(w/pi,angle(h));ylabel('相角'); %画相位特征曲线
clear all
b=[1];
a=[1,-10/3,1];
[r,p,k]=residuez(b,a);
disp('留数');disp(r');
disp('极点');disp(p');
disp('常数');disp(k);
zplane(b,a);
更多相关文章点这里哦
数字信号处理----全套Matlab实验报告
通信工程(信息类,电子类,电气工程,自动化,计算机,软件工程,机电,等相关专业)全套学习指导
最后
以上就是专一高山最近收集整理的关于实验三 基于MATLAB的离散时间信号的频域分析一、实验目的:二、实验原理:三、作业:更多相关文章点这里哦的全部内容,更多相关实验三内容请搜索靠谱客的其他文章。
发表评论 取消回复