我是靠谱客的博主 老迟到哑铃,这篇文章主要介绍Gradient-Preserving Color TransferAbstractIntroductionRelated WorkGradient-Preserving Color TransferEvaluation MetricConclusion and Future Work,现在分享给大家,希望可以做个参考。
Abstract
- Reinhard等人的开创性工作有两个问题——不同区域的颜色混合和保真问题。
- 本文提出了一种新的颜色转移算法,从场景细节和颜色两方面解决颜色转移的逼真问题。
- 我们认为保持颜色梯度对于场景逼真度是必要的。
- 我们将颜色传递问题描述为优化问题,并用两步法求解——直方图匹配和保梯度优化。
- 我们还提出了客观评价基于示例的颜色转移算法性能的度量。
Introduction
- 颜色传递是一种将参考图像的颜色特性传递给源图像的图像处理技术。
- 理想情况下,颜色转移算法的结果应该使场景与源图像保持一致并应用参考图像的颜色样式。
- Reinhard最初提出了一种简单而有效的颜色转移算法,该算法根据源图像和参考图像中颜色值的平均值和标准偏差,在1α颜色空间中逐个像素地转换和缩放图像。在源图像和参考图像具有不同颜色分布的情况下,它可以产生不自然的外观结果。由于该算法基于简单统计(平均值和标准差),因此可以生成场景细节和颜色分布较低的结果
- 在本文中,我们关注颜色转移的精确性:生成的结果精确地再现源图像中的场景和参考图像的颜色分布的程度。 Pitie等人的n维概率密度函数(pdf)匹配方法实现了颜色分布的精确性,但它产生了额外的边缘.
- 我们使用直方图来评估颜色。 结合梯度和直方图为基于示例的颜色转移的梯度保持颜色转移算法和客观评估度量提供了基础。
Related Work
- Reinhard等人的开创性工作提出了一种将一种图像的颜色样式转换为另一种图像的全局算法。 正如他们所发现的那样,颜色转移的性能受到源图像和参考图像在构图中的相似性的影响。 Reinhard等人。 提出了一种基于反距离加权的局部方法来弥补它。
- Chang 提出了一种基于颜色类别的颜色转移算法并将其扩展为处理视频数据。 首先,他们将源图像和参考图像转换为CIE L * a * b *颜色空间,并将每个像素分类为11个基本类别之一。 然后,针对每类像素点集在颜色空间中生成凸包。 最后,在同一类别的每对凸包内应用颜色变换。
- Tai等人的局部颜色转移方法基于其软颜色分割算法。 首先,提出了一种改进的EM算法,用于对输入图像进行概率分割,并为它们构造GMM(高斯混合模型)。 然后,获得对应关系以将源图像中的每个高斯分量映射到参考图像中的一些高斯分量。 最后,将Reinhard等人的方法应用于每个高斯分量对,并根据每个像素的概率对中间结果进行分数组合。
- 评估指标对于评估算法的性能非常重要。 PSNR(峰值信噪比)和MSE(均方误差)是最受欢迎的指标,因为它们理解和实现简单。
Gradient-Preserving Color Transfer
- 现在解释我们的梯度保持颜色转移算法。 颜色转移有两个目标:在正确的颜色关系中保留原始场景的元素,同时应用所需的颜色样式。 为此,我们的方法在保留源图像的颜色渐变信息和应用参考图像的颜色之间进行折衷。 为了获得感知上合理的结果,我们将源图像的梯度图和参考图像的直方图保存为目标。
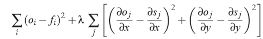
- 我们将颜色转移问题表示为一个优化问题,最小化如下公式:

代表着输出图像,参考图像和源图像。
代表着相关图像的颜色直方图。
是梯度算子。
是衡量梯度保存和新颜色重要性的系数。第一个总和取自直方图,第二个总和取自每个图像中的像素。- 我们将优化分为两个步骤,并解决两个连续的任务。 在第一步中,采用直方图匹配算法将源图像s转换为中间图像f,其现在具有与参考图像g完全相同的颜色样式。 然后,优化方程(方程1)可以重写为

- 这意味着期望输出图像o保留中间图像f的颜色和源图像s的梯度。 两个和取自相关图像中的像素。
- 通过使用矩阵表示法再次重写等式2,然后可以将最小化问题定义为以下线性系统的解:

表示沿着X与Y轴的梯度。在我们的实现中,Dx和Dy是前向Sobel差分算子; DT x和DT y是后向Sobel差分算子。
Evaluation Metric
- 我们认为源图像中的场景细节和参考图像的颜色风格是基于实例的颜色传递处理中的两个关键部分。因此,我们提出了一个基于梯度和直方图的度量来度量基于示例的颜色转移算法的性能。按照MSE的思想,我们推导了如下度量:

- 而M是直方图的区间数; N是图像中的像素总数; λ是加权系数,我们设置λ= 1来表示颜色和梯度之间的等价重要性。H(·)和G(·)表示相关图像的颜色直方图和梯度图。
Conclusion and Future Work
- 在本文中,我们提出了一种新的梯度保持颜色转移算法。 为了获得感知上合理的结果,有必要进行高质量的颜色转移以保持源图像的梯度和参考图像的颜色分布。 然后,我们将目标形式化为通过两个步骤解决优化问题并成功解决它们。
- 我们提出了一种评估指标,用于客观地测量全局颜色传输算法的精度。 实验结果验证了我们的算法的有效性和高可靠性,并且它可以用于处理局部颜色转移。
最后
以上就是老迟到哑铃最近收集整理的关于Gradient-Preserving Color TransferAbstractIntroductionRelated WorkGradient-Preserving Color TransferEvaluation MetricConclusion and Future Work的全部内容,更多相关Gradient-Preserving内容请搜索靠谱客的其他文章。
本图文内容来源于网友提供,作为学习参考使用,或来自网络收集整理,版权属于原作者所有。
发表评论 取消回复