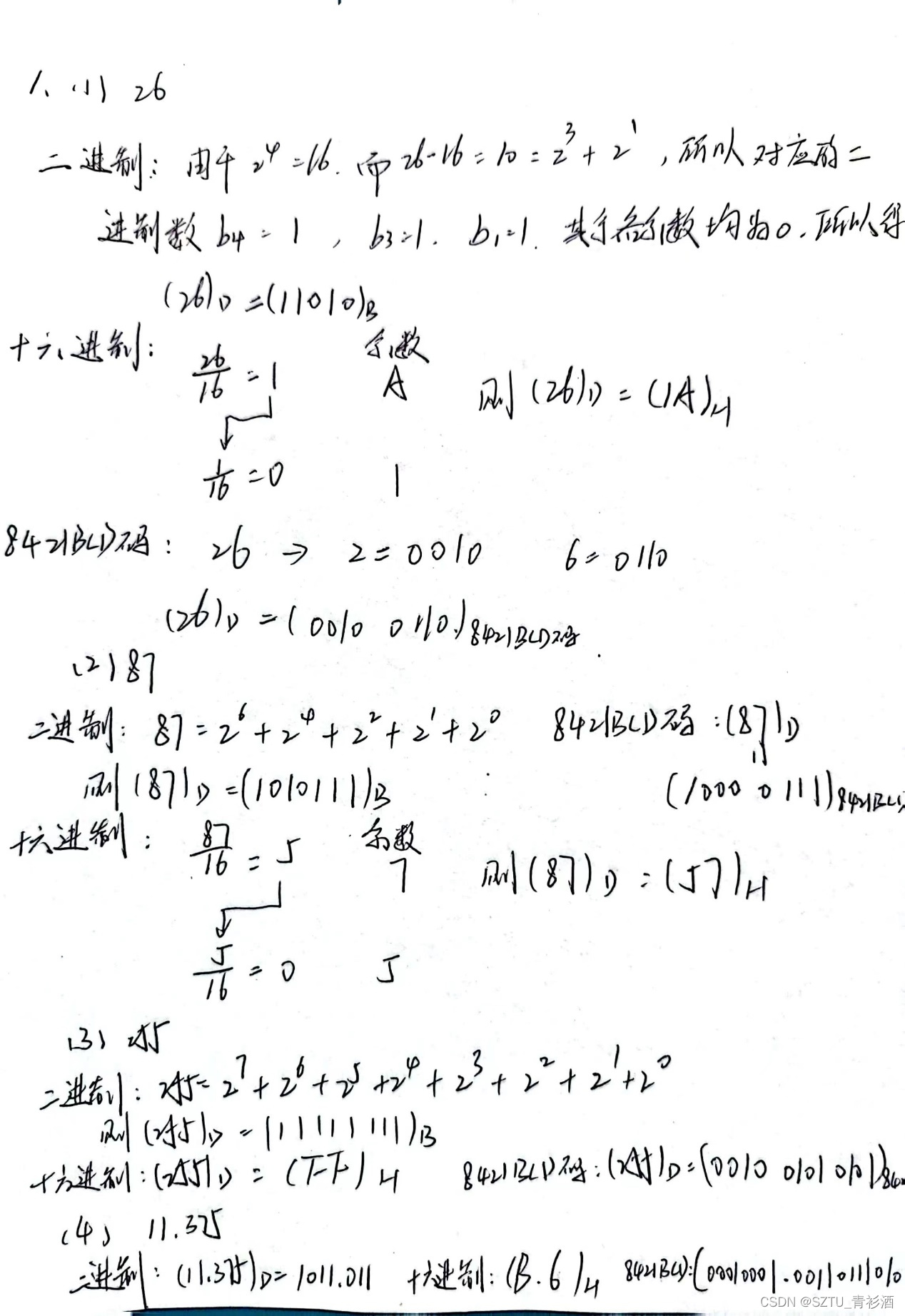
1.将下列十进制数转换为二进制数、十六进制数、8421BCD码来表示。
(1)26 (2)87 (3)255 (4)11.375

2.将下列二进制数转换为十进制数、十六进制数。
(1) 1011 (2) 1111111111 (3)11000101 (4)1010101.101

- 用公式证明下列各等式

最后
以上就是热情冬瓜最近收集整理的关于数字电子技术第一次作业的全部内容,更多相关数字电子技术第一次作业内容请搜索靠谱客的其他文章。
本图文内容来源于网友提供,作为学习参考使用,或来自网络收集整理,版权属于原作者所有。
发表评论 取消回复