Matlab求解微分代数方程 (DAE)
什么是微分代数方程?
微分代数方程是一类微分方程,其中一个或多个因变量导数未出现在方程中。方程中出现的未包含其导数的变量称为代数变量,代数变量的存在意味着不能将这些方程记为显式形式 y′=f(t,y)。
ode15s 和 ode23t 求解器可以使用奇异质量矩阵 M(t,y)y′=f(t,y) 来解算微分指数为1的线性隐式问题,包括以下形式的半显式 DAE
y′0=f(t,y,z)
0 =g(t,y,z)
在此形式中,由于主对角线存在一个或多个零值,因此代数变量的存在会产生奇异质量矩阵。

默认情况下,求解器会自动检验质量矩阵的奇异性,以检测 DAE 方程组。如果提前知道奇异性,则可将 odeset 的 MassSingular 选项设为 'yes'。对于 DAE,还可以使用 odeset 的 InitialSlope 属性为求解器提供 y′(0) 的初始条件估计值。
举个例子

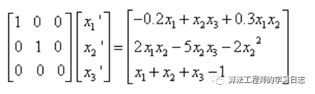
其中x1(0)=0.8;x2(0)=x3(0)=0.1;
1)方程写成DAE形式

2)编程求解
%%clcclearclose allodefun = @(t,x)[-0.2*x(1)+x(2)*x(3)+0.3*x(1)*x(2);2*x(1)*x(2)-5*x(2)*x(3)-2*x(2)^2;x(1)+x(2)+x(3)-1]; %微分方程M = [1 0 0;0 1 0;0 0 0]; % 质量矩阵options=odeset('mass',M); % 定义mass属性x0=[0.8;0.1;0.1];[t,x]=ode15s(odefun,[0 10],x0,options);figureplot(t,x(:,1),t,x(:,2),t,x(:,3))grid onlegend('x1','x2','x3')


最后
以上就是年轻世界最近收集整理的关于2021-01-13 Matlab求解微分代数方程 (DAE)的全部内容,更多相关2021-01-13内容请搜索靠谱客的其他文章。
本图文内容来源于网友提供,作为学习参考使用,或来自网络收集整理,版权属于原作者所有。
发表评论 取消回复